Συνομιλία Μιωνή-Παππά: Χωρίς απάντηση οι αποκαλύψεις για μεθόδους παρακράτους επί ΣΥΡΙΖΑ

Συνομιλία Μιωνή-Παππά: Χωρίς απάντηση οι αποκαλύψεις για μεθόδους παρακράτους επί ΣΥΡΙΖΑ

Αντιφατικές και αμήχανες οι απαντήσεις Παππά για «λεφτά», «μαγαζί» και «Μαρέβα» - Δικαιολογίες από ΣΥΡΙΖΑ, δριμύ κατηγορώ από ΝΔ και ΚΙΝΑΛ - Ακούστε το ηχητικό και δείτε την απομαγνητοφώνηση του διαλόγου, όπως κατατέθηκαν στην Προανακριτική Επιτροπή

Συνομιλία Μιωνή-Παππά: Χωρίς απάντηση οι αποκαλύψεις για μεθόδους παρακράτους επί ΣΥΡΙΖΑ
Τον πολυπλόκαμο παρακρατικό μηχανισμό που λειτουργούσε υπό την καθοδήγηση ή την ανοχή της κυβέρνησης ΣΥΡΙΖΑ προκειμένου να ελεγχθούν οι αρμοί της εξουσίας και να βγάλουν «πολλά λεφτά» οι διαχειριστές του, αποκαλύπτουν τα συγκλονιστικά ντοκουμέντα που έρχονται στο φως της δημοσιότητας τα τελευταία εικοσιτετράωρα.

Το πρωί της Δευτέρας ο επιχειρηματίας Σάμπυ Μιωνή διαβίβασε στην προανακριτική της Βουλής ηχητικό υλικό απο συνομιλία που είχε το 2016 με τον Νίκο Παππά προκαλώντας ισχυρό πολιτικό κλυδωνισμό.

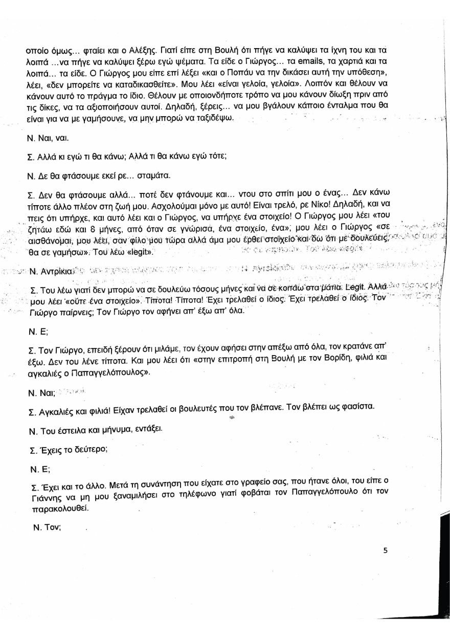
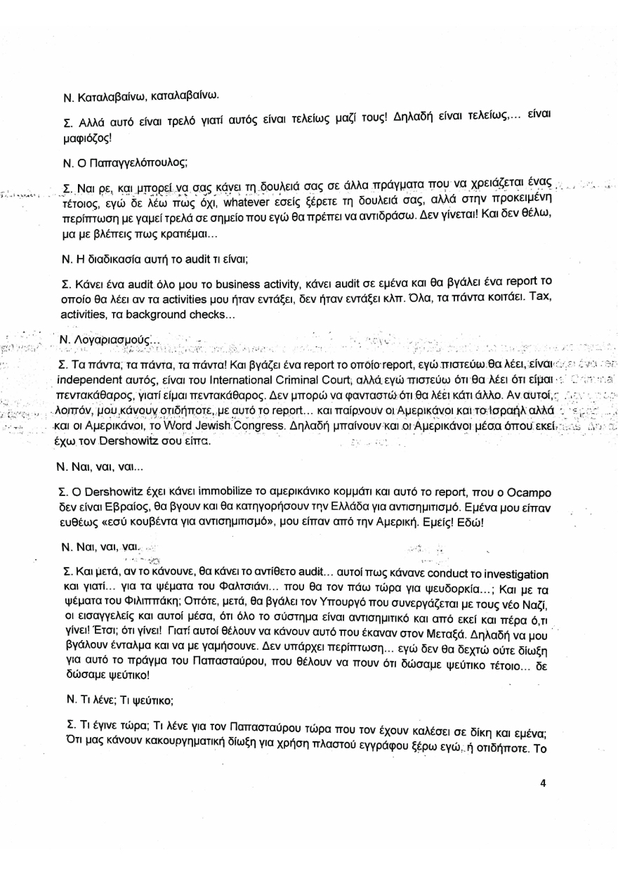
Οι συγκλονιστικοί διάλογοι εγείρουν μείζον θεσμικό ζήτημα για τον ΣΥΡΙΖΑ, καθώς εμφανίζουν τον πρώην υπουργό Επικρατείας και δεξί χέρι του τότε πρωθυπουργού Αλέξη Τσίπρα, να παραδέχεται πως το Μέγαρο Μαξίμου γνώριζε τις παράλληλες δραστηριότητες -outsourcing- του Δημήτρη Παπαγγελόπουλου -ενδεχομένως και άλλων υπουργών- από τις οποίες «κάποιοι έβγαζαν πολλά λεφτά».

Με ωμό τρόπο ομολογεί στον συνομιλητή του πως η ηγεσία της τότε κυβέρνησης δείχνει ανοχή στις παραθεσμικές μεθόδους πλουτισμού των υπουργών της αρκεί οι «εξωτερικές αναθέσεις» που αναλαμβάνουν να μην εμποδίζουν «την ατζέντα» του «δικού της μαγαζιού». Με εξίσου κυνικό τρόπο εμφανίζεται να ζητά απο τον κ. Μιωνή να κατασκευαστούν καταγγελίες για την κυρία Μαρέβα Γκραμπόφσκι, σύζυγο του Κυριάκου Μητσοτάκη.

Ακούστε το απόσπασμα της συνομιλίας Μιωνή και Παππά για Παπαγγελόπουλο:

Συνομιλία για Παπαγγελόπουλο



Διαβάστε την απομαγνητοφώνηση του αποσπάσματος της συνομιλίας για τον Δημήτρη Παπαγγελόπουλο:


Κλείσιμο
Συνομιλία Μιωνή-Παππά: Χωρίς απάντηση οι αποκαλύψεις για μεθόδους παρακράτους επί ΣΥΡΙΖΑ


Ακούστε το απόσπασμα για Μαρέβα Γκραμπόφσκι:

Συνομιλία για Μαρέβα Γκραμπόφσκι


Διαβάστε την απομαγνητοφώνηση της συνομιλίας για τη Μαρέβα Γκραμπόφσκι:

Συνομιλία Μιωνή-Παππά: Χωρίς απάντηση οι αποκαλύψεις για μεθόδους παρακράτους επί ΣΥΡΙΖΑ


Ακούστε ολόκληρο το ηχητικό ντοκουμέντο της συνομιλίας:


Ολόκληρο το ηχητικό


Ο Ρασπούτιν και οι μουτζαχεντίν του ΣΥΡΙΖΑ

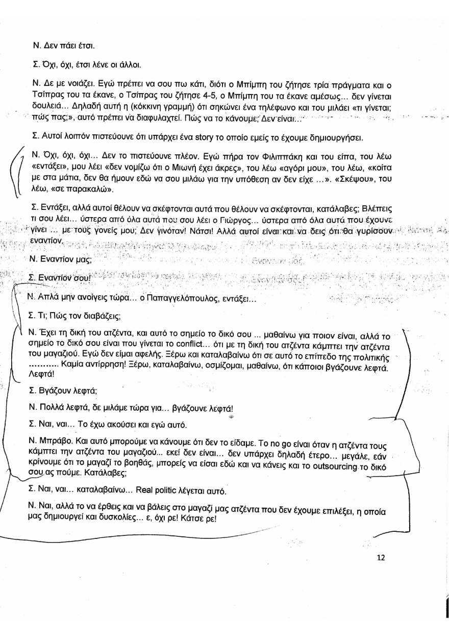
Οι συνταρακτικές αποκαλύψεις δια στόματος Νίκου Παππά για «μαγαζιά», «λεφτά», «πολλά λεφτά», «ατζέντες» και «νταβατζήδες» αποτυπώνουν ξεκάθαρα για πρώτη φορά την ευθεία γραμμή που σαν ομφάλιος λώρος συνδέει τους Δημήτρη Παπαγγελόπουλο και Ελένη Τουλουπάκη - την «μουτζαχεντίν του» όπως αποκαλείται στην συνομιλία – με την αυλή του Αλέξη Τσίπρα.

Στις ανατριχιαστικές στιχομυθίες ο κ. Παππάς εγγυάται ότι θα δώσει εντολή στον τότε αναπληρωτή υπουργό Δικαιοσύνης προκειμένου να τον φέρει σε επαφή με την εισαγγελέα Διαφθοράς, φανερώνοντας οτι η κυρία Τουλουπάκη λειτουργούσε υπο την απόλυτη καθοδήγηση του «Ρασπούτιν».

Οι ισχυρές ενδείξεις που προκύπτουν δείχνουν ότι το σύνολο των «πρωταγωνιστών» λειτουργούσαν με ξεκάθαρους ρόλους. Η καλοκουρδισμένη ομάδα φαίνεται πως είχε εντολέα, μεταφορέα – εγγυητή και κυνικό εκτελεστή.

Σε κάθε περίπτωση, σύμφωνα με στελέχη της προανακριτικής επιτροπής, το νέο υλικό ενισχύει τα στοιχεία για τον τρόπο που στήθηκε η σκευωρία Novartis και για την τακτική που ακολούθησε η »συμμορία» του παραδικαστικού κυκλώματος Ρασπούτιν σε άλλες κρίσιμες δικαστικές υποθέσεις.

Πλέον, η μεγάλη εικόνα που σχηματίζουν τα «καυτά» ευρήματα που έχει στην διάθεσή της η προανακριτική δείχνουν ότι ο παραθεσμικός μηχανισμός της κυβέρνησης ΣΥΡΙΖΑ:

- έστησε διώξεις κατά των Αντ. Σαμαρά, Ε. Βενιζέλου, Π. Πικραμμένου και των άλλων πολιτικών της αντιπάλων με κατασκευασμένες καταγγελίες κουκουλοφόρων μαρτύρων
- επιχείρησε την πολιτική εξόντωση και του Κυριάκου Μητσοτάκη μέσω στημένων ψευδορκιών κατά της συζύγου του
- αποπειράθηκε - ενδεχομένως σε ορισμένες περιπτώσεις πέτυχε – να χειραγωγήσει άλλες κρίσιμες υποθέσεις για επιχειρηματίες, εκδότες και δημοσιογράφους



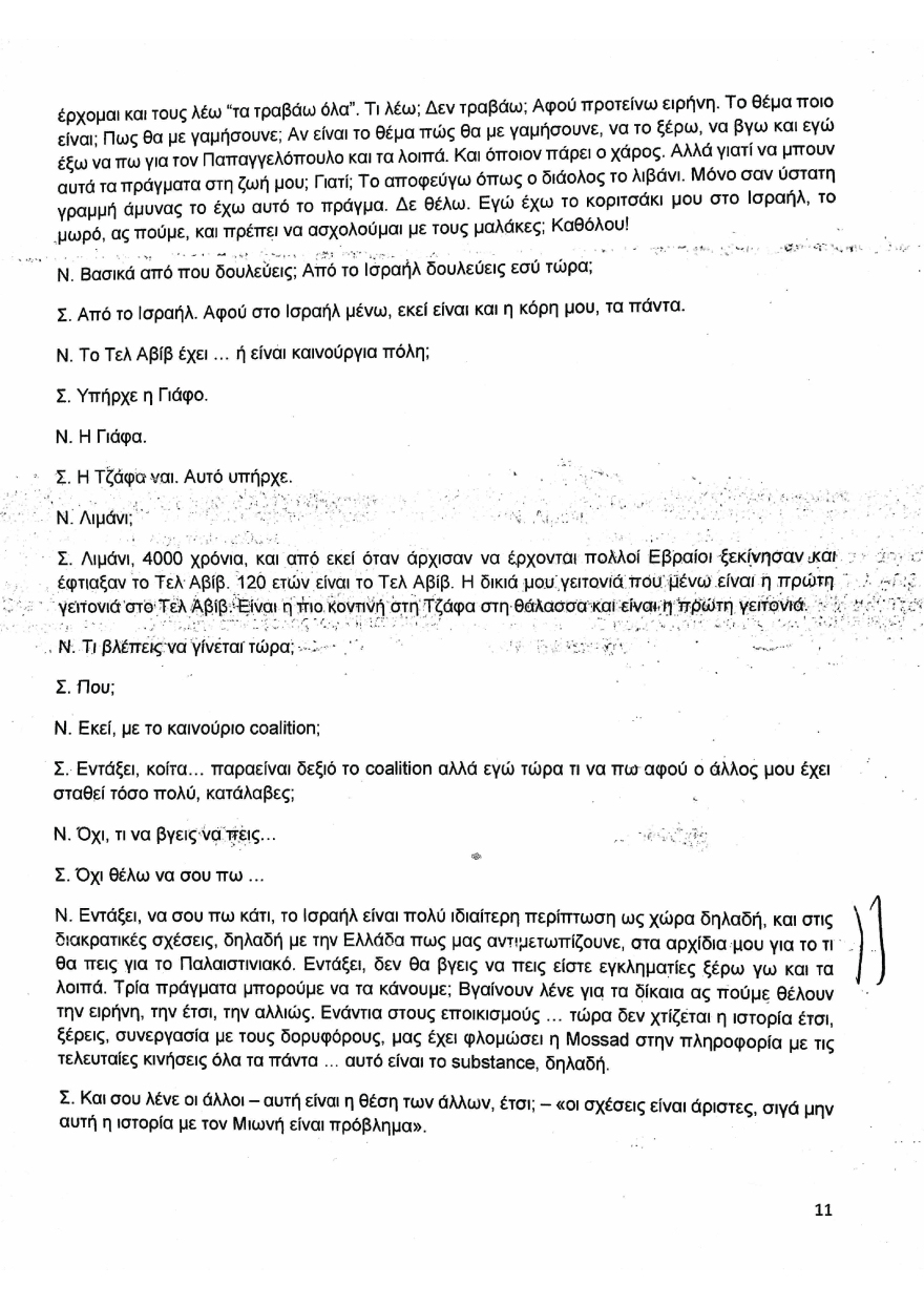
Δείτε τα έγγραφα της απομαγνητοφώνησης της συνομιλίας Μιωνή-Παππά που κατατέθηκαν στην προανακριτική Επιτροπή:


Συνομιλία Μιωνή-Παππά: Χωρίς απάντηση οι αποκαλύψεις για μεθόδους παρακράτους επί ΣΥΡΙΖΑ
Συνομιλία Μιωνή-Παππά: Χωρίς απάντηση οι αποκαλύψεις για μεθόδους παρακράτους επί ΣΥΡΙΖΑ
Συνομιλία Μιωνή-Παππά: Χωρίς απάντηση οι αποκαλύψεις για μεθόδους παρακράτους επί ΣΥΡΙΖΑ
Συνομιλία Μιωνή-Παππά: Χωρίς απάντηση οι αποκαλύψεις για μεθόδους παρακράτους επί ΣΥΡΙΖΑ
Συνομιλία Μιωνή-Παππά: Χωρίς απάντηση οι αποκαλύψεις για μεθόδους παρακράτους επί ΣΥΡΙΖΑ
Συνομιλία Μιωνή-Παππά: Χωρίς απάντηση οι αποκαλύψεις για μεθόδους παρακράτους επί ΣΥΡΙΖΑ
Συνομιλία Μιωνή-Παππά: Χωρίς απάντηση οι αποκαλύψεις για μεθόδους παρακράτους επί ΣΥΡΙΖΑ
Συνομιλία Μιωνή-Παππά: Χωρίς απάντηση οι αποκαλύψεις για μεθόδους παρακράτους επί ΣΥΡΙΖΑ
Συνομιλία Μιωνή-Παππά: Χωρίς απάντηση οι αποκαλύψεις για μεθόδους παρακράτους επί ΣΥΡΙΖΑ
Συνομιλία Μιωνή-Παππά: Χωρίς απάντηση οι αποκαλύψεις για μεθόδους παρακράτους επί ΣΥΡΙΖΑ
Συνομιλία Μιωνή-Παππά: Χωρίς απάντηση οι αποκαλύψεις για μεθόδους παρακράτους επί ΣΥΡΙΖΑ
Συνομιλία Μιωνή-Παππά: Χωρίς απάντηση οι αποκαλύψεις για μεθόδους παρακράτους επί ΣΥΡΙΖΑ
Συνομιλία Μιωνή-Παππά: Χωρίς απάντηση οι αποκαλύψεις για μεθόδους παρακράτους επί ΣΥΡΙΖΑ
Συνομιλία Μιωνή-Παππά: Χωρίς απάντηση οι αποκαλύψεις για μεθόδους παρακράτους επί ΣΥΡΙΖΑ
Συνομιλία Μιωνή-Παππά: Χωρίς απάντηση οι αποκαλύψεις για μεθόδους παρακράτους επί ΣΥΡΙΖΑ




Σκέψεις για εξεταστική επιτροπή

Να σημειωθεί ότι οι νέες αποκαλύψεις του επιχειρηματία Σάμπυ Μιωνή έρχονται λίγες ώρες μετά την αποκάλυψη της εφημερίδας “Παραπολιτικά” για έρευνα της ΕΥΠ που εμπλέκει το ζεύγος Καμμένου σε συνομιλίες με φερόμενα μέλη κυκλώματος εκβιαστών. Οι δύο υποθέσεις φαίνεται δεν συνδέονται ευθέως μεταξύ τους. Ωστόσο οδηγούν στο συμπέρασμα ότι την περίοδο 2015 – 2019, επι κυβέρνησης ΣΥΡΙΖΑ, λειτουργούσαν υπο την σκιά του Μεγάρου Μαξίμου παράλληλα, παραθεσμικά συστήματα. Το γεγονός αυτό καλλιεργεί σκέψεις σε αρκετά στελέχη της πλειοψηφίας για το ενδεχόμενο περαιτέρω διερεύνησης με σύσταση εξεταστικής επιτροπής.

Πανικός και αμηχανία στον ΣΥΡΙΖΑ

Την ίδια ώρα ο κ. Νίκος Παππάς και ο ΣΥΡΙΖΑ επιχειρούν να αντικρούσουν τα νέα στοιχεία με σπασμωδικές αντιδράσεις που εκπέμπουν πανικό.

Με αλλεπάλληλες διαρροές αποφεύγουν να μιλήσουν για την «ταμπακιέρα» και να απαντήσουν στα αμείλικτα ερωτήματα που δημιουργούνται και επιλέγουν να πετάξουν την μπάλα στην εξέδρα υποστηρίζοντας ότι ο κ. Σαμαράς εμποδίζει τα σχέδια ανασχηματισμού της κυβέρνησης Μητσοτάκη.

Ο πρώην υπουργός υποστήριξε αρχικά ότι το ηχητικό ντοκουμέντο είναι προϊόν εγκλήματος παράνομης ηχογράφησης και αποτέλεσμα «κοπτορακτικής». Στην συνέχεια παραδέχθηκε ότι όντως μετείχε στο διάλογο ωστόσο, οι καταγγελίες περι »χρημάτων» και «ατζέντας» δεν αφορούσαν τον κ. Παπαγγελόπουλο αλλά τους Σαμαρά, Μιωνή και Παπασταύρου.

Πάντως, στελέχη της προανακριτικής αναφέρουν ότι η πρώτη έρευνα δείχνει ότι το υλικό δεν έχει υποστεί επεξεργασία εξηγώντας ότι η συνομιλία πραγματοποιήθηκε σε χώρο ξενοδοχείου «υπο το αδιάλειπτο άκουσμα μουσικής».

Παράλληλα, επισημαίνουν ότι ρύθμιση που ψηφίστηκε πριν απο περίπου 6 μήνες καθιστά νομικά αξιοποιήσιμο υλικό ακόμα και αν έχει αποκτηθεί με παράνομο τρόπο. Εκτός αυτού, προσθέτουν πως απο το φιλικό κλίμα που επικρατεί κατά την διάρκεια της συνομιλία καθίσταται σαφές ότι οι καταγγελίες του κ. Παππά περι χρηματισμού δεν αφορούν τον συνομιλητή του όπως ο ίδιος ισχυρίζεται.

Αντίστοιχη αμηχανία και πανικό εκπέμπει και η αντίδραση του ΣΥΡΙΖΑ.

Τα στελέχη της αξιωματικής αντιπολίτευσης υποστηρίζουν ότι το ηχητικό Μιωνή αποτελεί αντιπερισπασμό για την απόκρυψη νέων στοιχείων που δείχνουν ότι η ΝΔ, επι προεδρίας Σαμαρά εισέπραξε 2,6 εκατ. ευρώ απο επιχειρηματία μέσω του κ. Παπασταύρου.

Ωστόσο, τα «νέα στοιχεία» που επικαλείται ο ΣΥΡΙΖΑ αποτελούν καταγγελία που έγινε στο ΣΔΟΕ τον Οκτώβριο του 2015, ερευνήθηκε απο τις εισαγγελίες Οικονομικού Εγκλήματος και Διαφθοράς και τελικά αρχειοθετήθηκε το 2019 απο την κυρία Τουλουπάκη καθώς δεν επαληθεύτηκαν οι ισχυρισμοί.

Επίσης, πηγές της Κουμουνδούρου παίρνουν θέση και για τις αποκαλύψεις των “Παραπολιτικών” επιβεβαιώνοντας ωστόσο τους «καυτούς» διαλόγους και υποστηρίζοντας ότι η τότε κυβέρνηση «πήρε τα μέτρα της».

Ειδήσεις σήμερα:

Υπόθεση ψευτογιατρού - Καταιγιστικές εξελίξεις: Πιθανόν να ευθύνεται και για τέταρτο θάνατο

Μακρόν κατά Ερντογάν: Η Άγκυρα παίζει ένα επικίνδυνο παιχνίδι στη Λιβύη

Η Βικτώρια Καρύδα ξεσπά: «Τα παιδιά μου είδαν στο YouTube τη δολοφονία...»
Ακολουθήστε το protothema.gr στο Google News και μάθετε πρώτοι όλες τις ειδήσεις

Δείτε όλες τις τελευταίες Ειδήσεις από την Ελλάδα και τον Κόσμο, τη στιγμή που συμβαίνουν, στο Protothema.gr

ΡΟΗ ΕΙΔΗΣΕΩΝ

Ειδήσεις Δημοφιλή Σχολιασμένα
δειτε ολες τις ειδησεις

ΤΑ ΠΙΟ ΔΗΜΟΦΙΛΗ

Best of Network

Δείτε Επίσης