Συνομιλία Μιωνή - Παππά: Θύελλα για την «ατζέντα του μαγαζιού», τα «πολλά λεφτά», «και τη Μαρέβα»

Συνομιλία Μιωνή - Παππά: Θύελλα για την «ατζέντα του μαγαζιού», τα «πολλά λεφτά», «και τη Μαρέβα»

Ακούστε το ηχητικό ντοκουμέντο με τον διάλογο, το οποίο κατατέθηκε στη Βουλή - Γιατί ο υπουργός του ΣΥΡΙΖΑ διαχωρίζει την ατζέντα του Παπαγγελόπουλου από εκείνη του Μαξίμου - Πώς σχολιάζουν πηγές της ΝΔ τις αποκαλύψεις - Τι αναφέρουν στις απαντήσεις τους Παππάς και Παπαγγελόπουλος

Συνομιλία Μιωνή - Παππά: Θύελλα για την «ατζέντα του μαγαζιού», τα «πολλά λεφτά», «και τη Μαρέβα»
Σε πολιτική «βόμβα μεγατόνων» εξελίσσεται το αποκαλυπτικό ηχητικό ντοκουμέντο που κατέθεσε σήμερα στην Προανακριτική Επιτροπή της Βουλής ο επιχειρηματίας Σάμπυ Μιωνής από τη συνομιλία του, το 2016, με τον Νίκο Παππά, σχετικά με τον Δημήτρη Παπαγγελόπουλο.

Οι συγκλονιστικοί διάλογοι εγείρουν μείζον θεσμικό ζήτημα για τον ΣΥΡΙΖΑ, καθώς αποκαλύπτουν την τακτική που ακολούθησε για την διακυβέρνηση της χώρας και τις παρακρατικές μεθόδους με τις οποίες επιχείρησε να ελέγξει τους “αρμούς της εξουσίας” ήδη απο τις πρώτες ημέρες που κατέλαβε το Μέγαρο Μαξίμου.

Ακούστε το απόσπασμα της συνομιλίας Μιωνή και Παππά για Παπαγγελόπουλο:

Συνομιλία για Παπαγγελόπουλο


Η μαγνητοφωνημένη συνομιλία πραγματοποιήθηκε στις 26 Μαΐου 2016 και εμφανίζει τον Νίκο Παππά, πρώην υπουργό Επικρατείας και δεξί χέρι του τότε πρωθυπουργού Αλέξη Τσίπρα, να παραδέχεται πως το Μέγαρο Μαξίμου γνώριζε τις παράλληλες δραστηριότητες -outsourcing- του Δημήτρη Παπαγγελόπουλου -ενδεχομένως και άλλων υπουργών- από τις οποίες “κάποιοι έβγαζαν πολλά λεφτά”. Ομολογεί, δε, πως οι παραθεσμικές business γίνονταν με την ανοχή της τότε ηγεσίας, αρκεί να μην “κάμπτουν την ατζέντα του μαγαζιού μας”.

Πιο αναλυτικά, ο κ. Παππάς αναφέρει:

«Ξέρω, καταλαβαίνω, οσμίζομαι, μαθαίνω, ότι κάποιοι βγάζουν λεφτά. Λεφτά… Πολλά λεφτά, δεν μιλάμε τώρα για… βγάζουνε λεφτά!… Και αυτό μπορούμε να κάνουμε ότι δεν το είδαμε. Το “no go” είναι όταν η ατζέντα τους κάμπτει την ατζέντα του μαγαζιού… εκεί δεν είναι… δεν υπάρχει δηλαδή έτερο… μεγάλε, εαν κρίνουμε ότι το μαγαζί το βοηθάς, μπορείς να είσαι εδώ και να κάνεις και το outsourcing το δικό σου ας πούμε. Κατάλαβες; Ναι, αλλά το να έρθεις και να βάλεις στο μαγαζί μας ατζέντα που δεν έχουμε επιλέξει, η οποία μας δημιουργεί και δυσκολίες… ε, όχι ρε! Κάτσε ρε!».

Πέραν αυτού, και όπως αναφέρει ο κ. Μιωνής, ο κ. Παππάς τον πίεσε, προκειμένου να μεσολαβήσει στον Σταύρο Παπασταύρου, ώστε ο τελευταίος να ψευδορκήσει κατά της Μαρέβας Γκραμπόφσκι, συζύγου του σημερινού πρωθυπουργού.

Διαβάστε την απομαγνητοφώνηση του αποσπάσματος της συνομιλίας για τον Δημήτρη Παπαγγελόπουλο:

Συνομιλία Μιωνή - Παππά: Θύελλα για την «ατζέντα του μαγαζιού», τα «πολλά λεφτά», «και τη Μαρέβα»
Κλείσιμο

Ακούστε το απόσπασμα για Μαρέβα Γκραμπόφσκι:

Συνομιλία για Μαρέβα Γκραμπόφσκι



Ν. Παππάς: Θα προσφύγω στην Δικαιοσύνη, παραποιημένος ο διάλογος - Στ. Πέτσας: Αδίστακτο παρακράτος

Απο την πλευρά του, ο κ. Παππάς με ανακοίνωση υποστηρίζει ότι η συνομιλία καταγράφηκε παράνομα απο τον κ. Μιωνή και πως έχει υποστεί επεξεργασία, ενώ προαναγγέλλει προσφυγή στην Δικαιοσύνη. Η κυβέρνηση, δια του εκπροσώπου της, Στέλιου Πέτσα, σχολιάζει τις αποκαλύψεις, μιλώντας για παρακράτος ΣΥΡΙΖΑ και καλεί για απαντήσεις τον κ. Αλέξη Τσίπρα.

Την ίδια ώρα, όμως, η πλειοψηφία της Προανακριτικής αποφάσισε να στείλει όλο τον «καυτό» φάκελο στην Δικαιοσύνη, καθώς θεωρεί ότι ο κ. Παππάς έχει τελέσει το αδίκημα της ψευδορκίας, καθώς, καταθέτοντας πριν απο περίπου δύο μήνες στην Επιτροπή, αρνήθηκε ότι είχε γίνει ο σχετικός διάλογος με τον κ. Μιωνή και πως γνώριζε για την παράνομη δραστηριότητα του κ. Παπαγγελόπουλου.

Διαβάστε την απομαγνητοφώνηση της συνομιλίας για τη Μαρέβα Γκραμπόφσκι:

Συνομιλία Μιωνή - Παππά: Θύελλα για την «ατζέντα του μαγαζιού», τα «πολλά λεφτά», «και τη Μαρέβα»


4+1 ερωτήματα

Σε κάθε περίπτωση, από το περιεχόμενο των συγκλονιστικών διαλόγων εγείρονται σοβαρά ερωτήματα για τον ΣΥΡΙΖΑ και τον κ. Παππά:

- Γιατί το Μέγαρο Μαξίμου ανέχθηκε τις παράλληλες δραστηριότητες -outsourcing- του κ. Παπαγγελόπουλου, από τις οποίες έβγαζε “πολλά λεφτά”; Με ποιο αντάλλαγμα;

- Σε ποιους άλλους -πέραν του Δ. Παπαγγελόπουλου- αναφέρεται ο κ. Παππάς, όταν ομολογεί ότι “κάποιοι βγάζουν λεφτά”;

- Τι περιελάμβανε η ατζέντα του Μεγάρου Μαξίμου, το οποίο ο κ. Παππάς αποκαλεί ως “μαγαζί μας”;

- Τι εννοεί ο κ. Παππάς, όταν αναφέρει ότι η “κόκκινη γραμμή” που έθετε η κυβέρνηση (το “no go” -κάτι σαν no passaran- όπως καταγράφεται στο ηχητικό) στους υπουργούς της ήταν οι “δουλειές” τους να μην συγκρούονται με την “ατζέντα του μαγαζιού μας”; Είχε αναλάβει και το Μέγαρο Μαξίμου outsourcing;

Ακούστε ολόκληρο το ηχητικό ντοκουμέντο της συνομιλίας:

Ολόκληρο το ηχητικό

Συνομιλία Μιωνή - Παππά: Θύελλα για την «ατζέντα του μαγαζιού», τα «πολλά λεφτά», «και τη Μαρέβα»
Συνομιλία Μιωνή - Παππά: Θύελλα για την «ατζέντα του μαγαζιού», τα «πολλά λεφτά», «και τη Μαρέβα»
Συνομιλία Μιωνή - Παππά: Θύελλα για την «ατζέντα του μαγαζιού», τα «πολλά λεφτά», «και τη Μαρέβα»
Συνομιλία Μιωνή - Παππά: Θύελλα για την «ατζέντα του μαγαζιού», τα «πολλά λεφτά», «και τη Μαρέβα»
Συνομιλία Μιωνή - Παππά: Θύελλα για την «ατζέντα του μαγαζιού», τα «πολλά λεφτά», «και τη Μαρέβα»
Συνομιλία Μιωνή - Παππά: Θύελλα για την «ατζέντα του μαγαζιού», τα «πολλά λεφτά», «και τη Μαρέβα»
Συνομιλία Μιωνή - Παππά: Θύελλα για την «ατζέντα του μαγαζιού», τα «πολλά λεφτά», «και τη Μαρέβα»
Συνομιλία Μιωνή - Παππά: Θύελλα για την «ατζέντα του μαγαζιού», τα «πολλά λεφτά», «και τη Μαρέβα»
Συνομιλία Μιωνή - Παππά: Θύελλα για την «ατζέντα του μαγαζιού», τα «πολλά λεφτά», «και τη Μαρέβα»



Συνομιλία Μιωνή - Παππά: Θύελλα για την «ατζέντα του μαγαζιού», τα «πολλά λεφτά», «και τη Μαρέβα»
Συνομιλία Μιωνή - Παππά: Θύελλα για την «ατζέντα του μαγαζιού», τα «πολλά λεφτά», «και τη Μαρέβα»
Συνομιλία Μιωνή - Παππά: Θύελλα για την «ατζέντα του μαγαζιού», τα «πολλά λεφτά», «και τη Μαρέβα»
Συνομιλία Μιωνή - Παππά: Θύελλα για την «ατζέντα του μαγαζιού», τα «πολλά λεφτά», «και τη Μαρέβα»
Συνομιλία Μιωνή - Παππά: Θύελλα για την «ατζέντα του μαγαζιού», τα «πολλά λεφτά», «και τη Μαρέβα»
Συνομιλία Μιωνή - Παππά: Θύελλα για την «ατζέντα του μαγαζιού», τα «πολλά λεφτά», «και τη Μαρέβα»
Συνομιλία Μιωνή - Παππά: Θύελλα για την «ατζέντα του μαγαζιού», τα «πολλά λεφτά», «και τη Μαρέβα»
Συνομιλία Μιωνή - Παππά: Θύελλα για την «ατζέντα του μαγαζιού», τα «πολλά λεφτά», «και τη Μαρέβα»

Συνομιλία Μιωνή - Παππά: Θύελλα για την «ατζέντα του μαγαζιού», τα «πολλά λεφτά», «και τη Μαρέβα»




Οι “καυτοί διάλογοι”

Η αποκαλυπτική συνομιλία περιλαμβάνει απόσπασμα, κατά το οποίο ο κ. Παππάς αναφέρει ευθέως ότι ο κ. Παπαγγελόπουλος έχει την δική του ατζέντα υποθέσεων, από τις οποίες βγάζει πολλά λεφτά. Ωστόσο, ο τότε στενός συνεργάτης του πρωθυπουργού Αλέξη Τσίπρα φέρεται να υποστηρίζει ότι το Μέγαρο Μαξίμου δεν έχει πρόβλημα με αντίστοιχες δραστηριότητες μελών της κυβέρνησης, αρκεί να μην έρχονται σε σύγκρουση “με την ατζέντα του μαγαζιού”¨.

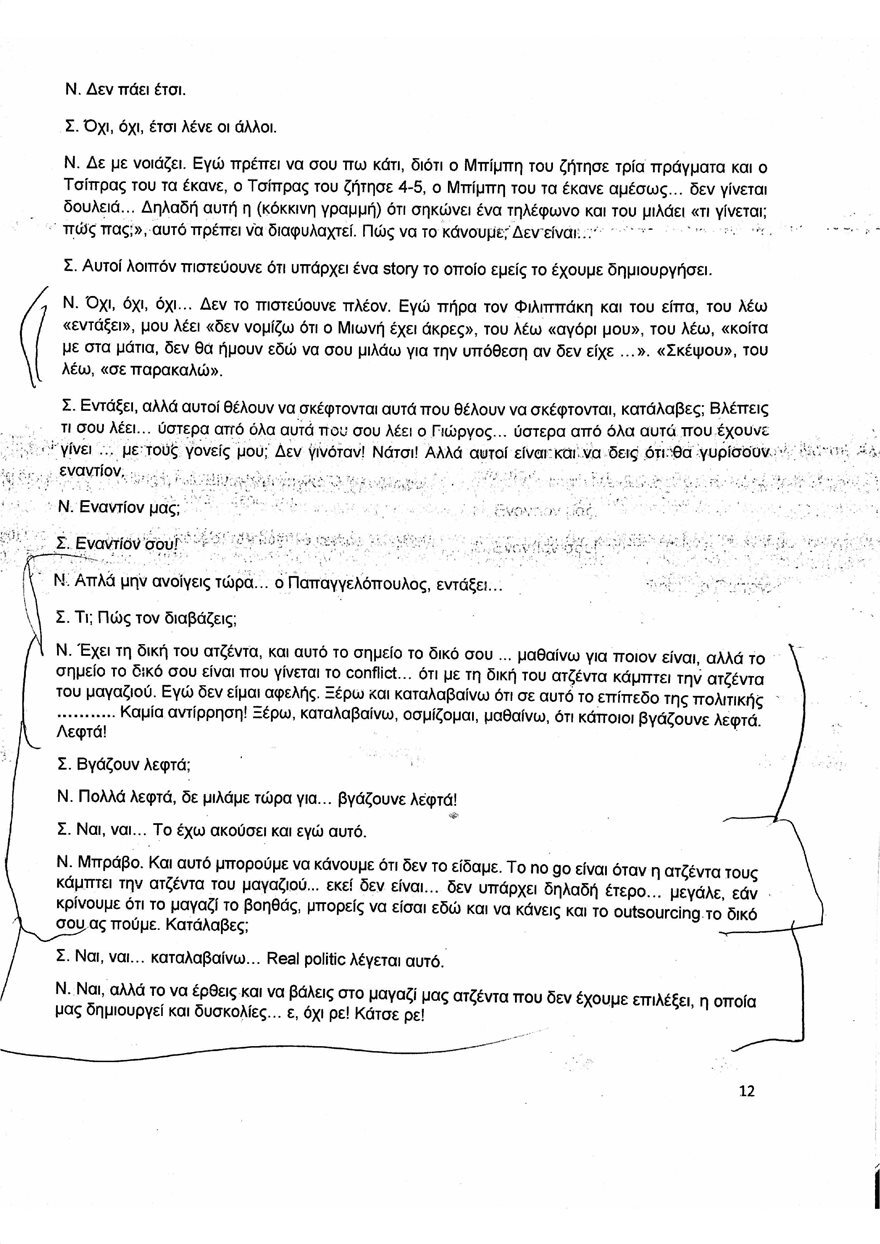
ΠΑΠΠΑΣ: Απλά μην ανοίγεις τώρα… ο Παπαγγελόπουλος, εντάξει…

ΜΙΩΝΗΣ: Τι; Πως τον διαβάζεις;

ΠΑΠΠΑΣ: Εχει την δική του ατζέντα, και αυτό το σημείο το δικό σου… Μαθαίνω για ποιον είναι… αλλά το σημείο το δικό σου είναι που γίνεται το conflict… Οτι με τη δική του ατζέντα κάμπτει την ατζέντα του μαγαζιού. Εγώ δεν είμαι αφελής. Ξέρω και καταλαβαίνω ότι σε αυτό το επίπεδο της πολιτικής (ακατάληπτο) Καμία αντίρρηση! Ξέρω, καταλαβαίνω, οσμίζομαι, μαθαίνω, ότι κάποιοι βγάζουνε λεφτά. Λεφτά!

ΜΙΩΝΗΣ: Βγάζουν λεφτά;

ΠΑΠΠΑΣ: Πολλά λεφτά, δεν μιλάμε τώρα για… βγάζουνε λεφτά!

ΜΙΩΝΗΣ: Ναι ναι. Το έχω ακούσει και εγώ αυτό!

ΠΑΠΠΑΣ: Μπράβο. Και αυτό μπορούμε να κάνουμε ότι δεν το είδαμε. Το no go είναι όταν η ατζέντα τους κάμπτει την ατζέντα του μαγαζιού. Εκεί δεν είναι… Δεν υπάρχει δηλαδή έτερο… Μεγάλε, εαν κρίνουμε ότι το μαγαζί το βοηθάς, μπορείς να είσαι εδώ και να κάνεις και το outsourcing το δικό σου ας πούμε. Κατάλαβες;

ΜΙΩΝΗΣ: Ναι, ναι καταλαβαίνω. Real politic λέγεται αυτό.

ΠΑΠΠΑΣ: Ναι, αλλά το να έρθεις και να βάλεις στο μαγαζί μας ατζέντα που δεν έχουμε επιλέξει, η οποία μας δημιουργεί δυσκολίες, ε όχι ρε! Κάτσε ρε!

Δείτε όλα τα έγγραφα της απομαγνητοφώνησης της συνομιλίας Μιωνή-Παππά που κατατέθηκαν στην προανακριτική Επιτροπή με ένα κλικ εδώ


Για την Μαρέβα Γκραμπόφσκι

ΠΑΠΠΑΣ: Δεν μισούμε κανένα. Να βγει να μιλήσει (ο Στ. Παπασταύρου)

ΜΙΩΝΗΣ: να βγει να μιλήσει να πει τι ρε συ;

ΠΑΠΠΑΣ: έλα ρε μαλ..α. Να βγει

ΜΙΩΝΗΣ: και τι να πει; Σίγουρα; Ο Σταύρος ξέρει πράγματα που δεν ξέρω εγώ; Ετσί; Για κάτσε δυο λεπτάκια. Αλλά να σου πω εσύ θα έβγαινες να μιλήσεις για τον Αλέξη;

Παππάς (μάλλον γνέφει υποδηλώνοντας άρνηση)

ΜΙΩΝΗΣ: Ε, πως περιμένεις ο άλλος να βγει… να είμαστε τώρα λογικοί. Δηλαδή θες να σου κάνουν το ίδιο πράγμα εσένα μεθαύριο; Ε, δεν λέει… δεν λέει

ΠΑΠΠΑΣ: Και τη Μαρέβα. Και τη Μαρέβα

ΜΙΩΝΗΣ: Τι;

ΠΑΠΠΑΣ: Και τη Μαρέβα

ΜΙΩΝΗΣ: και τι θες δηλαδή; Είναι κολλητή του φίλη η Μαρέβα. Οταν πέθανε η γυναίκα του Σταύρου…

Το στήσιμο με το FBI προάγγελος για την σκευωρία Novartis

Πέραν αυτού, αποκαλυπτικό είναι και το απόσπασμα για τον τρόπο εμπλοκής του FBI στην έρευνα κατά του κ. Μιωνή, καθώς, σύμφωνα με στελέχη της προανακριτικής, αποτελεί προάγγελο για όσα έγιναν στο στήσιμο της σκευωρίας Novartis:

ΠΑΠΠΑΣ: (προφανώς διαβάζει μήνυμα στο κινητό): “Μου λείπουν πολλά κομμάτια και με κρατάει ο Μίμης εντελώς απ' έξω. Είχαν έρθει και οι Αμερικάνοι πράκτορες και δεν με άφησαν καν να μπω στο meeting.

ΜΙΩΝΗΣ: Αυτό που σου είχα πει, είχαν φέρει τους Αμερικάνους. Φώναξε αυτή τους Αμερικάνους

ΠΑΠΠΑΣ: έρχεται μια μέρα ο Βασιλειάδης και μου λέει “ψάχνει το FBI”, του λέω: Γιωργάκη μήπως φωνάξανε αυτοί το FBI και βγαίνουν και λένε ότι τον Μιωνή τον κυνηγούν οι Αμερικάνοι;”

ΜΙΩΝΗΣ: αυτό κάνανε. Φώναξαν το FBI, λέγοντάς τους, ότι για τον Μεταξά που είναι φοροφυγάς και money launderer και τον κυνηγάμε και έχει ένταλμα, έχει δώσει δάνειο γι' αυτά τα κτήρια στη Νεα Υόρκη […]

ΝΔ: Παραδικαστικό ΣΥΡΙΖΑ

Την ύπαρξη παραδικαστικού συστήματος ΣΥΡΙΖΑ, το οποίο έστηνε υποθέσεις, εκβίαζε και απέφερε μεγάλα χρηματικά ποσά στους διαχειριστές του, αποκαλύπτει το συγκλονιστικό ηχητικό ντοκουμέντο στην προανακριτική της Βουλής, σύμφωνα με την Νέα Δημοκρατία.

Πηγές της πλειοψηφίας τονίζουν ότι “μετά την σημερινή αποκάλυψη καθίσταται πλέον σαφές με μάρτυρα μάλιστα τον Νικο Παππά ότι ο ΣΥΡΙΖΑ είχε στήσει ένα παραδικαστικό σύστημα για να κάνει “δουλειές”. Ο κ. Παπαγγελόπουλος έκανε την δική του δουλειά: εξυπηρετούσε το ΣΥΡΙΖΑ και έβγαιναν “πολλά λεφτά” με την πλήρη ανοχή και γνώση του «κεντρικού μαγαζιού», όπως το χαρακτηρίζει ο κ. Παππάς, του ΣΥΡΙΖΑ”.

Οι ίδιες πηγές υπογραμμίζουν ότι “Από τις συνομιλίες αποδεικνύεται:

• Ύπαρξη παραδικαστικού και οικονομικές δοσοληψίες – «Λεφτά, πολλά Λεφτά»
• Διακίνηση ανοικτών ποινικών δικογραφιών στα υπουργικά γραφεία
• Χειραγώγηση εισαγγελέων, τους οποίους ο Παπαγγελόπουλος μπορούσε να τους καλεί για εντολές, όποτε ήθελε
• Προτροπή του κ. Παππά να «δώσει» ο Σταύρος Παπασταύρου, χωρίς όμως κανένα στοιχείο και με προφανή πολιτική στόχευση, την Κα Μαρέβα Γκραμπόφσκι για να παύσουν να τον κυνηγούν.
• Ο κ. Παππάς σε σχέση με την κατάθεση του στην επιτροπή της Βουλής ψευδόρκησε. Να θυμίσουμε ότι στις 5.2.2020 ο κ. Παππάς είχε ξεκαθαρίσει ότι δεν ήξερε τίποτα για «μαγαζί Παπαγγελόπουλου» και δεν είχε μιλήσει ποτέ για την κυρία Γκραμπόφσκι.

Σε όλες αυτές τις παραδικαστικές μεθοδεύσεις ακούσαμε κι αυτό σήμερα: ο ΣΥΡΙΖΑ να εγκαλεί την ... κα. Τουλουπάκη για δήθεν συγκάλυψη υπέρ του ... κ. Σαμαρά!

Για μια αρχειοθετημένη υπόθεση που διερευνήθηκε από 4 δικαστικούς από το 2015 έως το 2019! Την ώρα που το παρακράτος, με τις αποκρουστικές μεθόδους του, αποκαλύπτεται με συγκλονιστικά έγγραφα και ντοκουμέντα, εμφανίζουν μια ακόμη ακατανόητη αστειότητα που ειπώθηκε προ πέντε ετών. Είναι τέτοια η απελπισία τους που εμφανίζουν ένα σενάριο επιστημονικής φαντασίας, ως δήθεν "νέο στοιχείο". Οι γελοίοι σκευωροί έφθασαν από τα "νομίζω, άκουσα, εκτιμώ, εικάζω, έχω ακούσει" των κουκουλοφόρων ψευδομαρτύρων της Νοβάρτις, στο σημερινό κατάντημα να επικαλούνται - έναν ακόμα εθελοντικώς προσερχόμενο - δήθεν μαρτυρά, ο οποίος ισχυρίστηκε ότι "πιστεύεται πως" ("it is believed") ο κ. Παπασταύρου ΘΑ χρηματοδοτούσε την προεκλογική εκστρατεία του τότε κυβερνώντος κόμματος (Ιανουάριο 2015). Και θα το έκανε αυτό επειδή ήταν συνεργάτης του κ. Σαμαρά, όταν θα έκανε μια δουλειά σε ορυχείο στα ... Σκόπια"!
Όλα αυτά περιέχονται σε δικογραφία που αρχειοθετήθηκε!

Πραγματικό παραλήρημα, με την ίδια μέθοδο και ίδιους πρωταγωνιστές, σε όλες τις υποθέσεις που έστησαν. επιστημονικής φαντασίας ως δήθεν στοιχείο.
Σήμερα το ερώτημα αφορά τον κ. Τσίπρα. Αποδέχεται την ρήση Παππά ότι ο ΣΥΡΙΖΑ είναι μαγαζί στο οποίο βάζει την ατζέντα ο Παπαγγελόπουλος;”

Ειδήσεις σήμερα:

Βόμβες Μιωνή: Ο Παππάς μου είπε ότι ο Παπαγγελόπουλος έχει ατζέντα και κάποιοι βγάζουν πολλά λεφτά, έχω καταγράψει τη συνομιλία

Οι σέξι κατάσκοποι, ο Πούτιν και τα δηλητήρια της KGB που καθήλωσαν τους Βρετανούς

Βασανισμός 83χρονης στην Πρέβεζα: Είχε αποπειραθεί και πέρυσι να την βιάσει ο Πακιστανός
Ακολουθήστε το protothema.gr στο Google News και μάθετε πρώτοι όλες τις ειδήσεις

Δείτε όλες τις τελευταίες Ειδήσεις από την Ελλάδα και τον Κόσμο, τη στιγμή που συμβαίνουν, στο Protothema.gr

ΡΟΗ ΕΙΔΗΣΕΩΝ

Ειδήσεις Δημοφιλή Σχολιασμένα
δειτε ολες τις ειδησεις

ΤΑ ΠΙΟ ΔΗΜΟΦΙΛΗ

Best of Network

Δείτε Επίσης