Η Παπακώστα κάνει διαγωνισμό για... καπάκια τουαλέτας

Η Παπακώστα κάνει διαγωνισμό για... καπάκια τουαλέτας

Αν και είχαν αλλαχθεί πριν δύο χρόνια με κόστος 186 ευρώ έκαστο, η κυρία Παπακώστα αγόρασε καινούρια, με δαπάνη του υπουργείου ύψους 89,28 ευρώ

Η Παπακώστα κάνει διαγωνισμό για... καπάκια τουαλέτας
Οι τέσσερις «υπηρεσιακές» ομπρέλες βροχής των 125 ευρώ έκαστη για την κάλυψη των αναγκών της υπουργού Προστασίας του Πολίτη Ολγας Γεροβασίλη και της υφυπουργού Κατερίνας Παπακώστα ομολογουμένως καταγράφονται στις πλέον ενδιαφέρουσες προμήθειες της πολιτικής ηγεσίας του συγκεκριμένου υπουργείου.

Μία όμως καινούργια δαπάνη της κυρίας Παπαπώστα έρχεται να δημιουργήσει εκ των πραγμάτων συγκρίσεις με τους προκατόχους της προσδίδοντας στοιχεία «ταξικότητας» μεταξύ των κυβερνητικών στελεχών ακόμα και στα χαρακτηριστικά της... υπουργικής τουαλέτας! Αυτό άλλωστε προέκυψε από την πρόσφατη κινητοποίηση ολόκληρου του υπηρεσιακού μηχανισμού του Αρχηγείου της Ελληνικής Αστυνομίας για να αγοραστούν προστατευτικά καπάκια τουαλέτας για το γραφείο της υφυπουργού Προστασίας του Πολίτη.

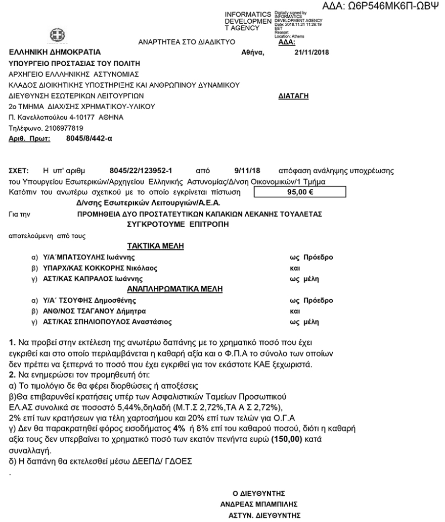
Προηγήθηκε η σχετική απόφαση ανάληψης υποχρέωσης για την «ΠΡΟΜΗΘΕΙΑ ΔΥΟ (02) ΠΡΟΣΤΑΤΕΥΤΙΚΩΝ ΚΑΠΑΚΙΩΝ ΛΕΚΑΝΗΣ ΤΟΥΑΛΕΤΑΣ (ΔΙΑΣΤΑΣΕΩΝ 43cm x 36cm),ΠΡΟΣ ΚΑΛΥΨΗ ΑΝΑΓΚΩΝ ΤΟΥ ΓΡ. Κ/ΑΣ ΥΦΥΠΟΥΡΓΟΥ» και ακολούθησε η απευθείας ανάθεση της προμήθειας στην εταιρεία “Π.ΚΟΥΤΣΟΘΟΔΩΡΟΣ & ΣΙΑ Ε.Ε”, από την οποία αγοράστηκαν και οι υπουργικές ομπρέλες, έναντι του ποσού των 89,28 ευρώ ή αλλιώς 44,64 ευρώ το κάθε ένα καπάκι. Στη συνέχεια συγκροτήθηκαν δύο διαφορετικές τριμελείς επιτροπές εκτέλεσης της παραπάνω δαπάνης και παραλαβής των καπακιών.

Δύο χρόνια νωρίτερα όμως το Αρχηγείο της ΕΛ.ΑΣ είχε προχωρήσει στην προμήθεια από την ίδια προμηθεύτρια εταιρεία με απευθείας ανάθεση καπακιών για την τουαλέτα του τότε αναπληρωτή υπουργού Εσωτερικών Νίκου Τόσκα. «Αποφασίζουμε την με απευθείας ανάθεση προμήθεια τριών σετ καπάκια λεκάνης στην εταιρεία με την επωνυμία “Π. ΚΟΥΤΣΟΘΟΔΩΡΟΣ & ΣΙΑ Ε.Ε” για τις ανάγκες του Γρ. κ. Αναπληρωτή Υπουργού Εσωτερικών, έναντι του χρηματικού ποσού των πεντακοσίων πενήντα οκτώ ευρώ(558,00ευρώ) συμπεριλαμβανομένου ΦΠΑ». Δηλαδή, τα καπάκια για την τουαλέτα του κ. Τόσκα, που αγοράστηκαν με την προβλεπόμενη υπηρεσιακή σχολαστικότητα μέσω συγκρότησης επιτροπών από αξιωματικούς της ΕΛ.ΑΣ, κόστισαν 186 ευρώ το κάθε ένα ή αλλιώς 4 φορές περισσότερο από τα καπάκια, που προμηθεύτηκε η κυρία Παπακώστα...


Δείτε αναλυτικά όλες τις αποφάσεις για την έγκριση της δαπάνης και την συγκρότηση επιτροπών της Κατερίνας Παπακώστα και ακολούθως του Νίκου Τόσκα:

kapakia01

Η Παπακώστα κάνει διαγωνισμό για... καπάκια τουαλέτας
Η Παπακώστα κάνει διαγωνισμό για... καπάκια τουαλέτας
Η Παπακώστα κάνει διαγωνισμό για... καπάκια τουαλέτας
Η Παπακώστα κάνει διαγωνισμό για... καπάκια τουαλέτας
Η Παπακώστα κάνει διαγωνισμό για... καπάκια τουαλέτας
Η Παπακώστα κάνει διαγωνισμό για... καπάκια τουαλέτας


Ακολουθήστε το protothema.gr στο Google News και μάθετε πρώτοι όλες τις ειδήσεις

Δείτε όλες τις τελευταίες Ειδήσεις από την Ελλάδα και τον Κόσμο, τη στιγμή που συμβαίνουν, στο Protothema.gr

ΡΟΗ ΕΙΔΗΣΕΩΝ

Ειδήσεις Δημοφιλή Σχολιασμένα
δειτε ολες τις ειδησεις

ΤΑ ΠΙΟ ΔΗΜΟΦΙΛΗ

Best of Network

Δείτε Επίσης