Κορωνοϊός: Χάθηκαν 3,8 τρισ. δολάρια και 147 εκατ. θέσεις εργασίας

Κορωνοϊός: Χάθηκαν 3,8 τρισ. δολάρια και 147 εκατ. θέσεις εργασίας

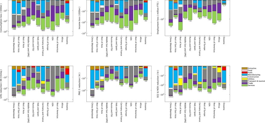
Οι μεγαλύτερες ζημίες σημειώθηκαν στους κλάδους των μεταφορών και του τουρισμού

Κορωνοϊός: Χάθηκαν 3,8 τρισ. δολάρια και 147 εκατ. θέσεις εργασίας
Ο πραγματικός -και ολέθριος- απολογισμός της πανδημίας ποσοτικοποιήθηκε επιστημονικά: Η καταναλωτική δραστηριότητα υπέστη καταβαράθρωση κατά 3,8 τρισ. δολάρια (δηλαδή $ 3.800.000.000), ενώ 147 εκατομμύρια εργαζόμενοι έχασαν τη δουλειά τους. Η καθίζηση στις αμοιβές των εργαζομένων υπολογίστηκε στα 2,1 τρισ. δολάρια. Και τα δεδομένα αυτά δεν αφορούν καν σε ολόκληρη τη διάρκεια της επιδημίας εξαιτίας του κορωνοϊού. Τα ποσά θεωρούνται μεν ακριβή, αλλά αντικατοπτρίζουν την κατάσταση μόνο έως το τέλος Μαΐου.

Κορωνοϊός: Χάθηκαν 3,8 τρισ. δολάρια και 147 εκατ. θέσεις εργασίας


Προφανώς, εάν οι επιστήμονες είχαν τον τρόπο να υπολογίσουν το συνολικό μέγεθος της καταστροφής σε πραγματικό χρόνο, δηλαδή από τον Ιανουάριο του 2020 έως σήμερα, οι αριθμοί θα ήταν ακόμη μεγαλύτεροι.

Όμως, το σημαντικό σε αυτά τα στοιχεία, είναι η μεθοδολογία μέσω της οποίας προέκυψαν. Μια διεθνής ομάδα δεκάδων επιστημόνων επεξεργάστηκε έναν ασύλληπτα μεγάλο όγκο δεδομένων, από 38 περιοχές του πλανήτη. Δημιουργήθηκε ένα πολυσύνθετο υπολογιστικό μακρο-οικονομικό μοντέλο, το οποίο εφαρμόστηκε τόσο στις άμεσες -ήτοι τις οικονομικές- επιπτώσεις της πανδημίας όσο και τις έμμεσες, όπως είναι π.χ. οι συνέπειες για το φυσικό περιβάλλον κ.α.

Κορωνοϊός: Χάθηκαν 3,8 τρισ. δολάρια και 147 εκατ. θέσεις εργασίας


Όπως διαπιστώθηκε, η Ασία, η Ευρώπη και οι ΗΠΑ επλήγησαν πιο βαριά από την υπόλοιπη οικουμένη, ενώ οι μεγαλύτερες ζημίες σημειώθηκαν στους κλάδους των μεταφορών και του τουρισμού.

Κλείσιμο
Η Δρ. Arunima Malik, καθηγήτρια Ολοκληρωμένης Αναλύσης Βιωσιμότητας στη Σχολή Φυσικής του πανεπιστημίου του Σίδνεϊ στην Αυστραλία, ως εκπρόσωπος της επιστημονικής ομάδας η οποία διεξήγαγε την έρευνα, σημειώνει χαρακτηριστικά ότι «πέρα από τις άμεσες, οι έμμεσες επιπτώσεις της πανδημίας μεταδόθηκαν στην παγκόσμια αλυσίδα μεταφοράς προμηθειών και έγιναν αισθητές στο σύνολο της παγκόσμιας οικονομίας. Το γεγονός αυτό υπογραμμίζει την άρρηκτη σχέση μεταξύ των κοινωνικο-οικονομικών και των περιβαλλοντικών παραμέτρων της ζωής μας. Και τονίζει ακόμη περισσότερο την πρόκληση που έχει μπροστά του ο άνθρωπος για να εγκαταλείψει μη βιώσιμες πρακτικές. Το πώς η ανθρωπότητα θα αντιδράσει στην τρέχουσα υγειονομική κρίση, θα προσδιορίσει και το πώς θα διαμορφωθεί ο κόσμος μετά τον κορωνοϊό».

Κορωνοϊός: Χάθηκαν 3,8 τρισ. δολάρια και 147 εκατ. θέσεις εργασίας


Ειδήσεις σήμερα:

Μέγκι Ντρίο: Έζησα έντονα το χωρισμό και το κέρατο

Πρώην παίκτρια του GNTM παντρεύεται

Στα διεθνή φεστιβάλ το ντοκιμαντέρ του Μαστοράκη για τον Άλιμο
Ακολουθήστε το protothema.gr στο Google News και μάθετε πρώτοι όλες τις ειδήσεις

Δείτε όλες τις τελευταίες Ειδήσεις από την Ελλάδα και τον Κόσμο, τη στιγμή που συμβαίνουν, στο Protothema.gr

ΡΟΗ ΕΙΔΗΣΕΩΝ

Ειδήσεις Δημοφιλή Σχολιασμένα

ΤΑ ΠΙΟ ΔΗΜΟΦΙΛΗ

Δείτε Επίσης