Δέκα λεωφορεία το μήνα σπάνε οι μπαχαλάκηδες στην Αθήνα

Δέκα λεωφορεία το μήνα σπάνε οι μπαχαλάκηδες στην Αθήνα

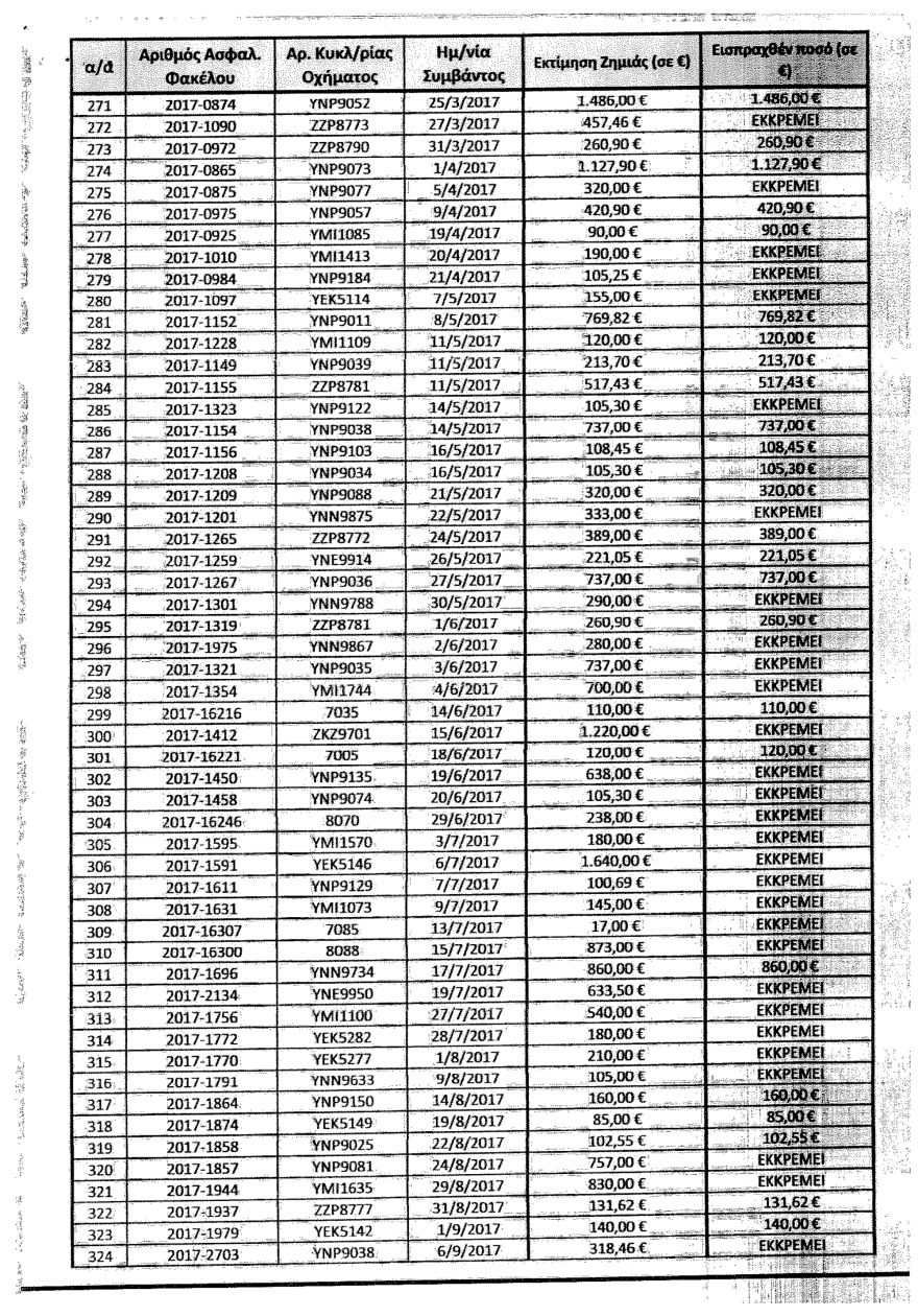
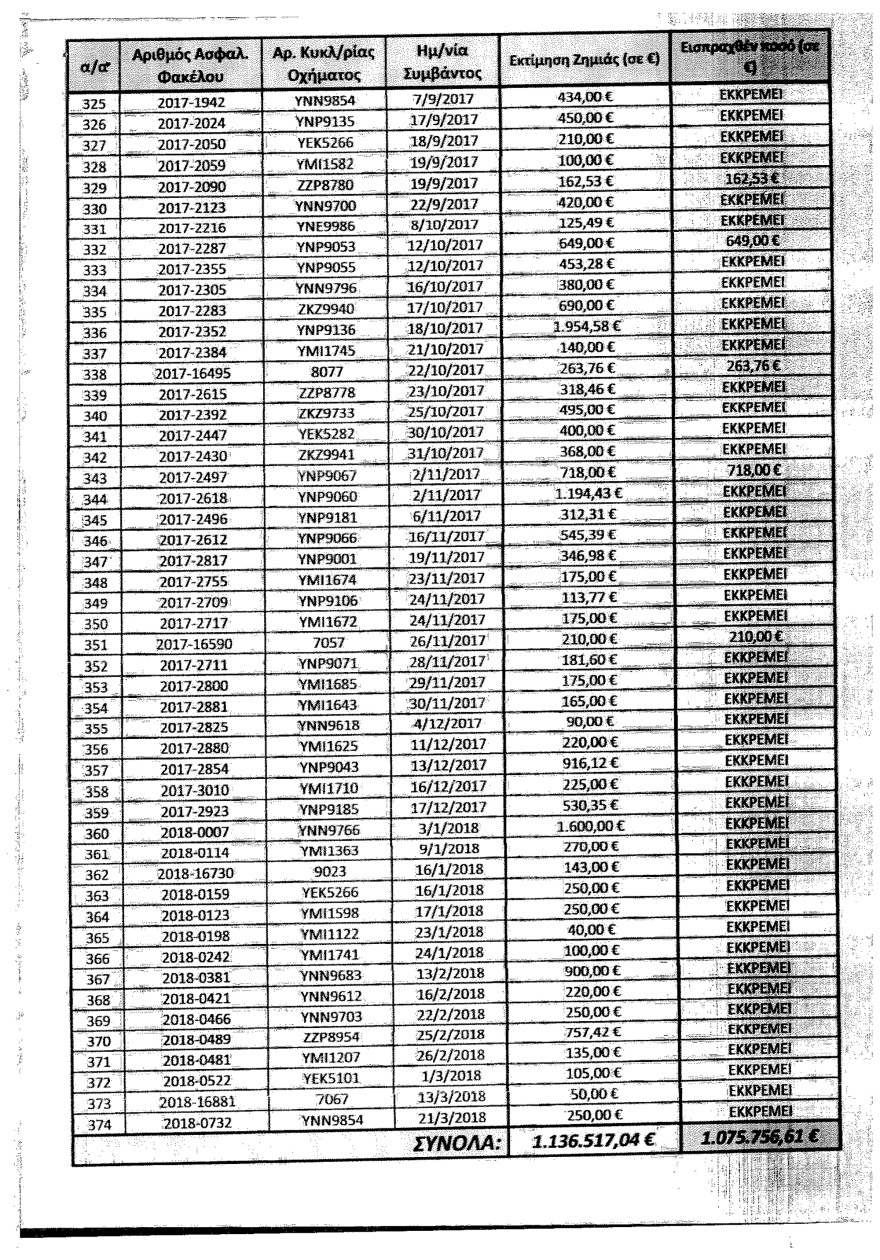
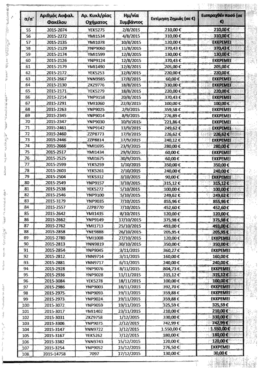
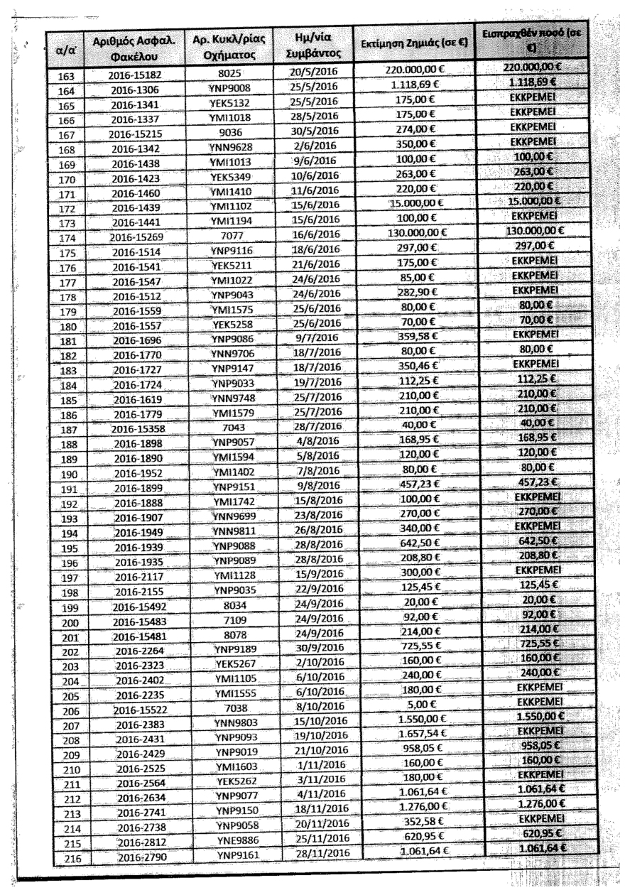
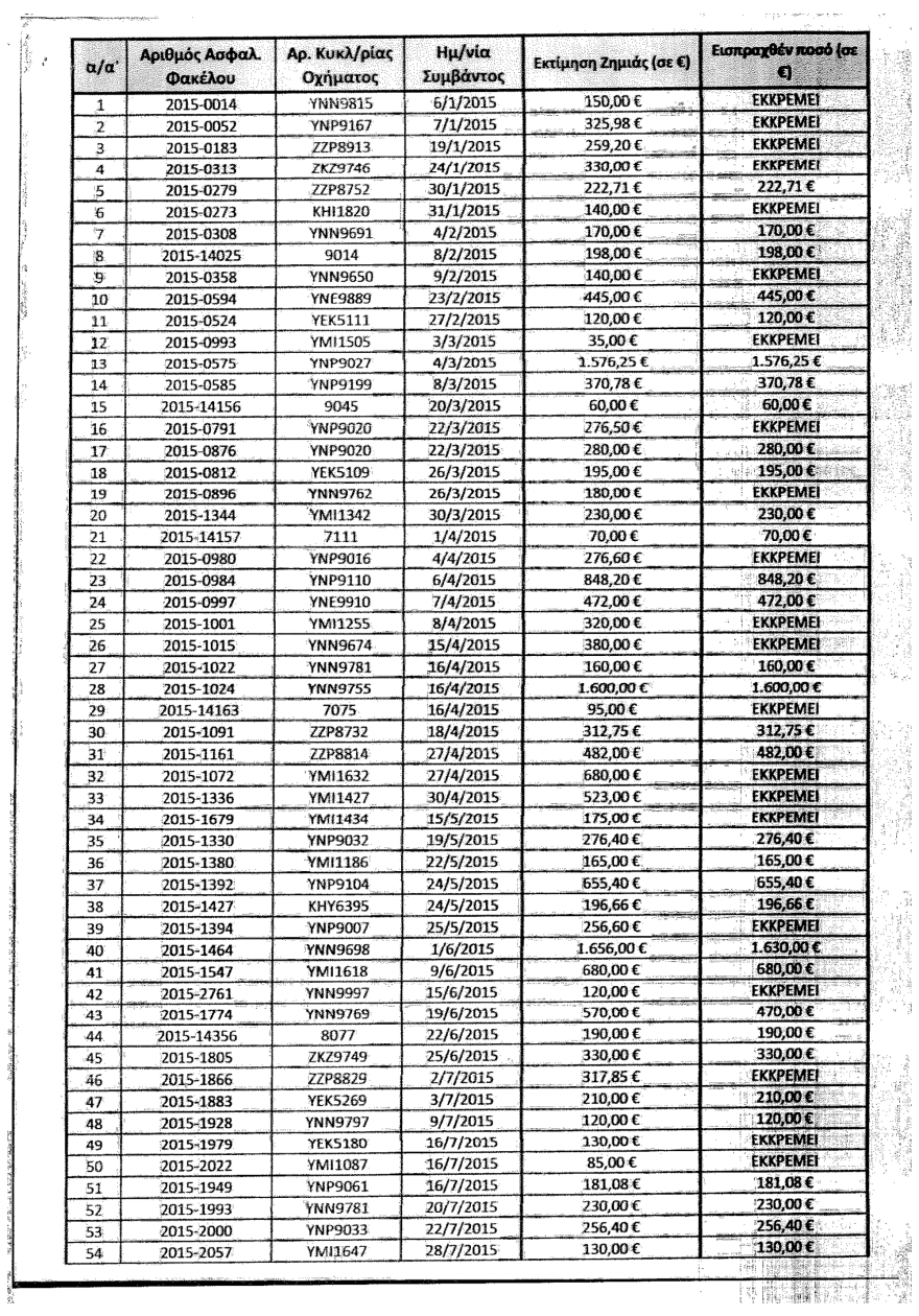
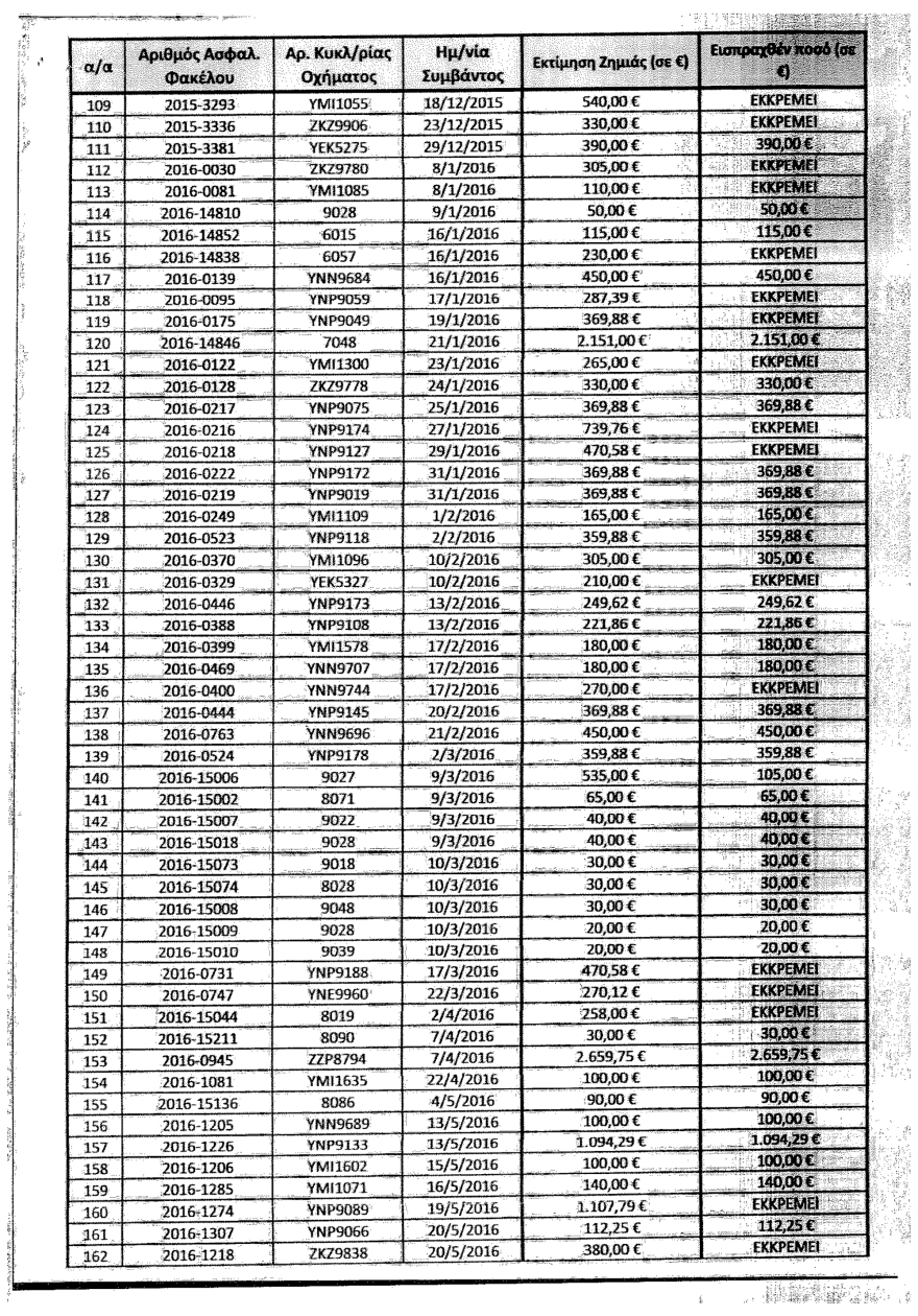
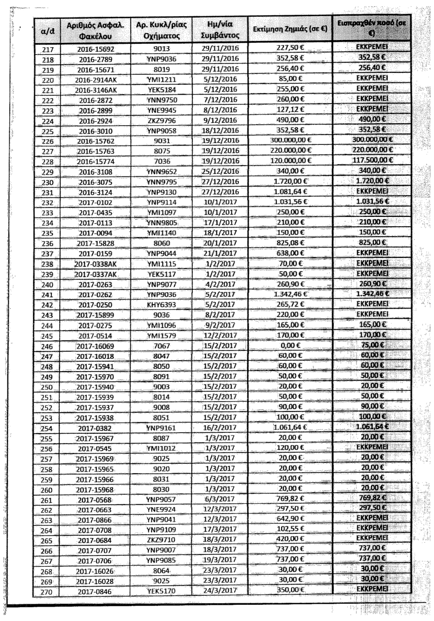
Αποκαλυπτικοί οι πίνακες της ΟΣΥ για το τι σύμβαίνει από το 2015  - Συνολικά εχουν καταγραφεί 374 περιστατικά

Δέκα λεωφορεία το μήνα σπάνε οι μπαχαλάκηδες στην Αθήνα
Το αποτέλεσμα της ανεξέλεγκτης δράσης των “μπαχαλάκηδων” τα τελευταία τρία χρόνια καταγράφει έγγραφο των Οδικών Συγκοινωνιών ΑΕ (Ο.ΣΥ) σύμφωνα με το οποίο ομάδες που κινούνται στον αντιεξουσιαστικό χώρο καταστρέφουν περίπου 10 λεωφορεία κάθε μήνα.

Συγκεκριμένα σύμφωνα με στοιχεία της ΟΣΥ που διαβίβασε στην Βουλή το υπουργείο Μεταφορών και Υποδομών απο τον Ιανουάριο 2015 εως τον Μάρτιο του 2018 έχουν καταγραφεί συνολικά 374 περιπτώσεις ζημιών – βανδαλισμών – καταστροφών οι οποίες αφορούν δρομολογημένα λεωφορεία και τρόλει της εταιρείας. “Είναι γεγονός πως κατά καιρούς η ΟΣΥ ΑΕ, στοχοποιείται απο ομάδες ατόμων, όπου μέσω των κακόβουλων ενεργειών, στρέφονται εναντίον της, προσπαθώντας με αυτόν τον τρόπο, να αναδείξουν τις όποιες κοινωνικοπολιτικές τους πεποιθήσεις” τονίζει μεταξύ άλλων ο διευθύνων σύμβουλος της εταιρείας Γιώργος Γλύκος.

Η εκτιμώμενη ζημιά των “κακόβουλων ενεργειών” ανέρχεται σε 1.136.517,04 ευρώ. Απο τις συνολικά 374 περιπτώσεις, οι 208 έχουν ήδη αποζημιωθεί πλήρως μέσω της ασφαλιστικής κάλυψης επιστρέφοντας ποσό περίπου 1 εκατ. ευρώ ενώ εκκρεμούν προς έγκριση ποσά περίπου 60 χιλ ευρώ.

Δέκα λεωφορεία το μήνα σπάνε οι μπαχαλάκηδες στην Αθήνα
Δέκα λεωφορεία το μήνα σπάνε οι μπαχαλάκηδες στην Αθήνα
Δέκα λεωφορεία το μήνα σπάνε οι μπαχαλάκηδες στην Αθήνα
Δέκα λεωφορεία το μήνα σπάνε οι μπαχαλάκηδες στην Αθήνα
Δέκα λεωφορεία το μήνα σπάνε οι μπαχαλάκηδες στην Αθήνα
Δέκα λεωφορεία το μήνα σπάνε οι μπαχαλάκηδες στην Αθήνα
Δέκα λεωφορεία το μήνα σπάνε οι μπαχαλάκηδες στην Αθήνα



Ακολουθήστε το protothema.gr στο Google News και μάθετε πρώτοι όλες τις ειδήσεις

Δείτε όλες τις τελευταίες Ειδήσεις από την Ελλάδα και τον Κόσμο, τη στιγμή που συμβαίνουν, στο Protothema.gr

ΡΟΗ ΕΙΔΗΣΕΩΝ

Ειδήσεις Δημοφιλή Σχολιασμένα
δειτε ολες τις ειδησεις

ΤΑ ΠΙΟ ΔΗΜΟΦΙΛΗ

Best of Network

Δείτε Επίσης