ΕΟΦ: Χωρίς τέλος οι ανακλήσεις φαρμάκων για το στομάχι - Δείτε τη νέα λίστα με όλες τις παρτίδες

ΕΟΦ: Χωρίς τέλος οι ανακλήσεις φαρμάκων για το στομάχι - Δείτε τη νέα λίστα με όλες τις παρτίδες

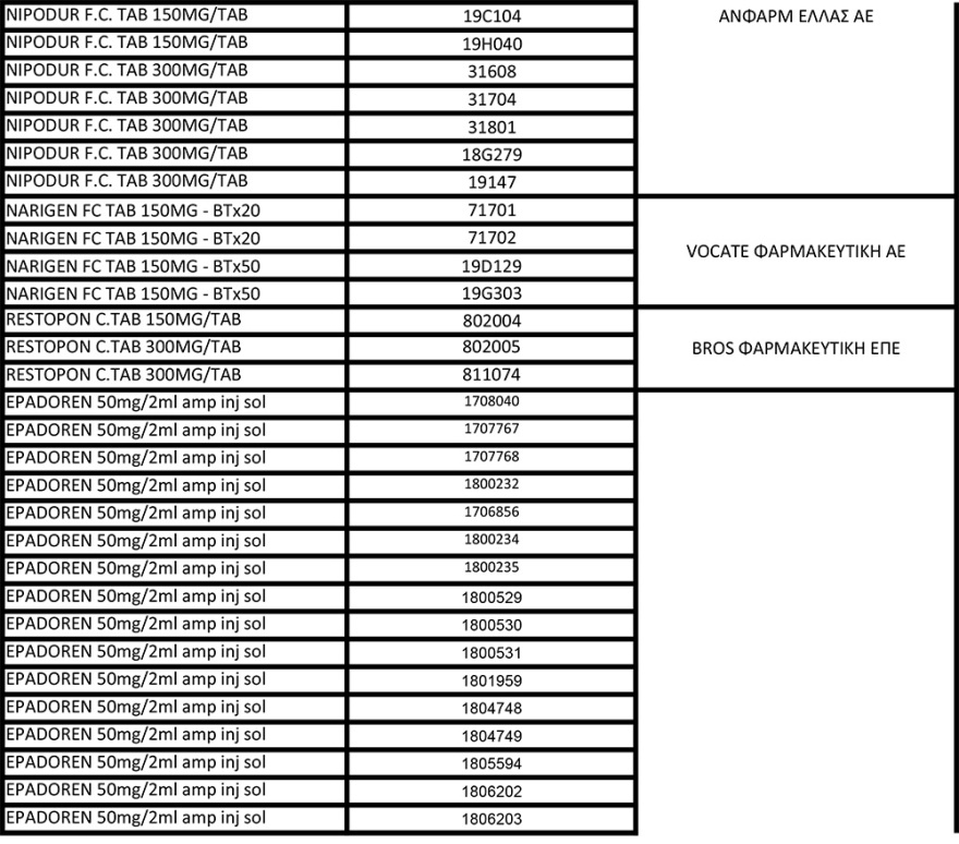
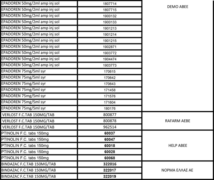
Με σημερινή απόφαση του ΕΟΦ ανακαλούνται παρτίδες των φαρμακευτικών προϊόντων που περιέχουν τη δραστική ουσία ρανιτιδίνη

ΕΟΦ: Χωρίς τέλος οι ανακλήσεις φαρμάκων για το στομάχι - Δείτε τη νέα λίστα με όλες τις παρτίδες
Σε μια ακόμη ανάκληση φαρμάκου για το στομάχι προχώρησε ο Εθνικός Οργανισμός Φαρμάκων (ΕΟΦ) στο πλαίσιο των ελέγχων για την δυνητικά καρκινογόνο πρόσμιξη N-νιτροζοδιμεθυλαμίνη (NDMA) που εντοπίστηκε σε σκευάσματα ρανιτιδίνης.

Με σημερινή, λοιπόν, απόφαση του ΕΟΦ ανακαλούνται παρτίδες των φαρμακευτικών προϊόντων που περιέχουν τη δραστική ουσία ρανιτιδίνη του παραγωγού UNION QUIMICO PHARMACEUTICO (UQUIFA).

Αναλυτικά τα σκευάσματα που ανακαλούνται αναγράφονται στον ακόλουθο πίνακα.

ΕΟΦ: Χωρίς τέλος οι ανακλήσεις φαρμάκων για το στομάχι - Δείτε τη νέα λίστα με όλες τις παρτίδες
ΕΟΦ: Χωρίς τέλος οι ανακλήσεις φαρμάκων για το στομάχι - Δείτε τη νέα λίστα με όλες τις παρτίδες
ΕΟΦ: Χωρίς τέλος οι ανακλήσεις φαρμάκων για το στομάχι - Δείτε τη νέα λίστα με όλες τις παρτίδες


Αξίζει ωστόσο να σημειωθεί ότι το πιστοποιητικό καταλληλότητας (CEP) του παραγωγού UQUIFA για τη δραστική ουσία ρανιτιδίνη βρίσκεται σε ισχύ.

«Η παρούσα απόφαση εκδίδεται προληπτικά, στο πλαίσιο της παρακολούθησης των εξελίξεων σχετικά με την ανίχνευση της ουσίας NDMA σε φαρμακευτικά προϊόντα με ρανιτιδίνη και ενισχύει την εθελοντική ανάκληση στην οποία προβαίνουν οι υπεύθυνες εταιρείες (σχετ. 3-11).

Οι ΚΑΚ (κάτοχοι των αδειών κυκλοφορίας) των προϊόντων καλούνται να υλοποιήσουν την ανάκληση σε εύλογο χρονικό διάστημα», υπογραμμίζεται στην ανακοίνωση.

Κλείσιμο
Οι εταιρείες που είναι ΚΑΚ των προϊόντων είναι οι ακόλουθες:

ΕΟΦ: Χωρίς τέλος οι ανακλήσεις φαρμάκων για το στομάχι - Δείτε τη νέα λίστα με όλες τις παρτίδες



Τα παραστατικά της ανάκλησης πρέπει να τηρούνται για διάστημα τουλάχιστον πέντε (5) ετών και να τίθενται υπόψη του ΕΟΦ, εφόσον ζητηθούν.

Υπενθυμίζεται ότι, σε Ευρώπη και ΗΠΑ έχει σημάνει συναγερμός στις υγειονομικές υπηρεσίες απ' όταν η πρόσμιξη N-νιτροζοδιμεθυλαμίνη (NDMA) εντοπίστηκε σε σκευάσματα ρανιτιδίνης, δεδομένου ότι πειράματα που έχουν γίνει σε ζώα ενοχοποιούν την NDMA για καρκινογένεση.

Οι ευρωπαϊκές και αμερικανικές ρυθμιστικές αρχές έχουν συσχετίσει την πρόσμιξη NDMA στα επίμαχα σκευάσματα κυρίως με την ινδική εταιρεία παραγωγής φαρμάκων Saraca Laboratories, αν και ελέγχονται και άλλες γραμμές παραγωγής.

Η ρανιτιδίνη αποτελεί τη δραστική ουσία ενός εκ των παλαιότερων και «δημοφιλέστερων» σκευασμάτων για τη μείωση της παραγωγής του γαστρικού οξέος σε ασθενείς με καταστάσεις, όπως αίσθημα καύσου στο στομάχι και έλκη στομάχου. Κυκλοφόρησε για πρώτη φορά το 1977 με την εμπορική ονομασία Zantac και την άδεια κυκλοφορίας να έχει τότε κατοχυρωθεί στην βρετανική φαρμακοβιομηχανία GlaxoSmithKline. Μετά τη λήξης της πατέντας, η ρανιτιδίνη συνέχισε να παράγεται ως γενόσημο φάρμακο από πολλές φαρμακευτικές εταιρείες και μέχρι σήμερα αποτελεί ένα από τα εμπορικότερα σκευάσματα για το πεπτικό σύστημα που χορηγείται, είτε με είτε χωρίς ιατρική συνταγή.

Μιλώντας στο ygeiamou.gr ο κ. Δημήτρης Κούβελας, καθηγητής Κλινικής Φαρμακολογίας στο ΑΠΘ, για τα σκευάσματα ρανιτιδίνης και την δυνητικά καρκινογόνο πρόσμιξη NDMA εξηγεί τι πρέπει να κάνουν οι ασθενείς που λαμβάνουν σκευάσματα ρανιτιδίνης και κατά πόσο προκύπτει κίνδυνος για την υγεία του ανθρώπου από την πρόσμιξη NDMA.

Tι είναι η ουσία νιτροζαμίνη που εντοπίστηκε στα φάρμακα αυτά;

Οι νιτροζαμίνες είναι μια μεγάλη κατηγορία ουσιών που κυρίως προέρχονται από χημική μετατροπή άλλων ουσιών όπως είναι τα νιτρώδη. Αυτά είναι χημικά μόρια που απαντώνται και στη φύση (νίτρο των ινδιών, νίτρο της Χιλής κλπ) που με διάφορες μορφές έχουν πολλές και διάφορες χρήσεις, από λιπάσματα, φάρμακα ως συντηρητικά και βελτιωτικά τροφίμων. Τα νιτρώδη αυτά στο στομάχι μετατρέπονται σε νιτροζαμίνεςκαι αυτές δυνητικώς έχουν μεταλαξιγόνο και ίσως καρκινογόνο δράση στο στομάχι. Στα φάρμακα μπορεί να βρεθεί ως ακαθαρσία που παραμένει σε μικρές ποσότητες μετά από κάποιο στάδιο της διαδικασίας παραγωγής.

Πόσα γνωρίζουμε για αυτήν την ουσία;

Γνωρίζουμε αρκετά καλά την κατηγορία και τις χημικές ιδιότητές της. Είναι σχετικά σταθερά μόρια που από τον οργανισμό αποβάλλονται κυρίως μέσω των ούρων, αρκετά γρήγορα με αποτέλεσμα να μην έχουν σωρευτική δράση.

Αν για παράδειγμα υπάρχει σε ένα δισκίο που λαμβάνεται δύο φορές την ημέρα, η έκθεση στο φάρμακο είναι συνεχής, για 24 ώρες, ενώ της νιτροζαμίνης λιγώτερο από ένα τρίωρο. Επίσης, νιτροζαμίνες παράγονται σε πολύ μεγαλύτερες ποσότητες από το νιτρώδες νάτριο που χρησιμοποιείται ως βελτιωτικό των αλλαντικών, χωρίς να έχουμε πενθήσει εκατόμβες από βρώση λουκάνικων.

Γνωρίζουμε ή μπορεί να καταδειχθεί από πότε περιεχόταν νιτροζαμίνη μέσα στη δραστική των σκευασμάτων που ανακλήθηκαν;

Τα φάρμακα ελέγχονται. Είτε ανά παρτίδα από τον παρασκευαστή, είτε δειγματολειπτικώς από τις αρχές. Προφανώς δεν είχε ανιχθευθεί νωρίτερα η πρόσμιξη NDMA. Δεν είναι δυνατόν να εμφανίστηκε σε περισσότερες από λίγες παρτίδες, διότι θα είχε ανιχνευτεί.

Κάθε πότε γίνονται έλεγχοι στις γραμμές παραγωγής των φαρμακευτικών προϊόντων;

Έλεγχοι πρέπει και γίνονται συνεχώς. Στις πρώτες ύλες, στα εργοστάσια παρασκευής, αλλά και στα εργοστάσια παραγωγής, στην αλυσίδα παραγωγής, βήμα-βήμα, αλλά και στο τελικό προϊόν, και από τη βιομηχανία που συνοδεύει τα προϊόντα με πιστοποιητικά και από ανεξάρτητους ερευνητές και από κρατικούς ελεγκτικούς και από ευρωπαϊκούς ελεγκτικούς μηχανισμούς. Το φάρμακο είναι το περισσότερο ελεγχόμενο προϊόν από οποιοδήποτε άλλο.

Τι επιπτώσεις μπορεί να έχει αυτή η πρόσμιξη στους ασθενείς που ελάμβαναν τα φάρμακα;

Αν υποθέσουμε ότι ασθενείς έχουν καταναλώσει φάρμακα από τις ύποπτες παρτίδες, δεν περιμένουμε τίποτα από το γεγονός. Δεν θα επηρεαστεί μάλλον κανένας. Η επικινδυνότητα των εν λόγω ουσιών είναι σταγόνα στον ωκεανό των δυνητικώς επικίνδυνων ουσιών που μας περιβάλλουν. Παρόλα αυτά και παρόλες τις κοινωνικές Κασσάνδρες, η ζωή συνεχώς επιμηκύνεται, λόγω ακριβώς αυτών των φαρμάκων, τροφίμων, ατμόσφαιρας και υδάτων.

Έχει σημασία η χρονική διάρκεια της λήψης των φαρμάκων για τις πιθανές επιπτώσεις στον οργανισμό των ασθενών λόγω της πρόσμιξης;

Προφανώς. Ο ελάχιστος χρόνος της έκθεσης, μαζί με τον μικρό χρόνο που αυτές οι ουσίες βρίσκονται στον οργανισμό, αλλά και των επιπλέον μεταβολικών αλλαγών που προκαλούνται στο ήπαρ, στα νεφρά και άλλα όργανα σε αυτά τα μόρια, επιτρέπει να γνωρίζουμε ότι η τοξικοτητάτους τελικώς είναι αμελητέα.

Τι πρέπει να κάνουν όσοι λαμβάνουν σκευάσματα ρανιτιδίνης;

Βασικά να συνεχίσουν τη θεραπεία τους κανονικά. Αν κάποιος παρόλα αυτά θέλει να μηδενίσει την πιθανότητα βλάβης του από τις νιτροζαμίνες μπορεί να προστατευτεί με τη λήψη σκευασμάτων τοκοφερόλης.

Ποια φάρμακα έχουν ανακληθεί μέχρι σήμερα στην Ελλάδα

Μέχρι σήμερα, και μετά την αναστολή του πιστοποιητικού καταλληλότητας του παραγώγου MDMA από την Saraca Laboratories Limited για τη δραστική ουσία ρανιτιδίνη, στην Ελλάδα υπήρξαν εθελοντικές ανακλήσεις:

-σε όλα τα προϊόντα ZANTAC, από την εταιρεία GLAXOSMITHKLINE AEBE

-σε όλες τις παρτίδες του φαρμακευτικού προϊόντος RANITIDINE/MYLAN F.C.TAB 150MG/TAB, από την εταιρεία MYLAN

-σε όλες τις παρτίδες του LUMAREN FC TAB 150 MG και LUMAREN INJ 50MG/2ML, από την εταιρεία ELPEN

-σε ορισμένες παρτίδες του προϊοντος PTINOLIN inj. sol. 50mg/2amp, από την εταιρεία HELP ABEE.

To NDMA διερευνάται για την παρουσία του και σε άλλα φάρμακα.
Ακολουθήστε το protothema.gr στο Google News και μάθετε πρώτοι όλες τις ειδήσεις

Δείτε όλες τις τελευταίες Ειδήσεις από την Ελλάδα και τον Κόσμο, τη στιγμή που συμβαίνουν, στο Protothema.gr

ΡΟΗ ΕΙΔΗΣΕΩΝ

Ειδήσεις Δημοφιλή Σχολιασμένα
δειτε ολες τις ειδησεις

ΤΑ ΠΙΟ ΔΗΜΟΦΙΛΗ

Best of Network

Δείτε Επίσης