Πανελλαδικές 2019 ΕΠΑΛ: Δείτε τις απαντήσεις στα θέματα της Άλγεβρας

Πανελλαδικές 2019 ΕΠΑΛ: Δείτε τις απαντήσεις στα θέματα της Άλγεβρας

Η Ομοσπονδία Εκπαιδευτικών Φροντιστών Ελλάδας περιγράφει τα θέματα «βατά, εντός ύλης και διαβαθμισμένης δυσκολίας»

Πανελλαδικές 2019 ΕΠΑΛ: Δείτε τις απαντήσεις στα θέματα της Άλγεβρας
Στην Άλγεβρα εξετάστηκαν σήμερα οι υποψήφιοι των Επαγγελματικών Λυκείων (ΕΠΑΛ), για την εισαγωγή στην Τριτοβάθμια εκπαίδευση.

Σχολιάζοντας τα σημερινά θέματα των ΕΠΑΛ, η Ομοσπονδία Εκπαιδευτικών Φροντιστών Ελλάδας αναφέρει ότι ήταν «βατά, εντός ύλης και διαβαθμισμένης δυσκολίας».

«Δεν υπάρχουν ασάφειες και απευθύνονται σε καλά διαβασμένους μαθητές. Με σωστή προετοιμασία ο καλά διαβασμένος μαθητής μπορεί να επιτύχει μια αξιόλογη βαθμολογία. Μόνο οι 10 μονάδες στις 100 (θέμα Δ3,Δ4) απαιτούν μια μεγαλύτερη προσπάθεια του μαθητή στην αντιμετώπισή τους. Σε γενικές γραμμές είναι λίγο μεγαλύτερα σε έκταση από τα περσινά», αναφέρει στην ανακοίνωσή της η ΟΕΦΕ.

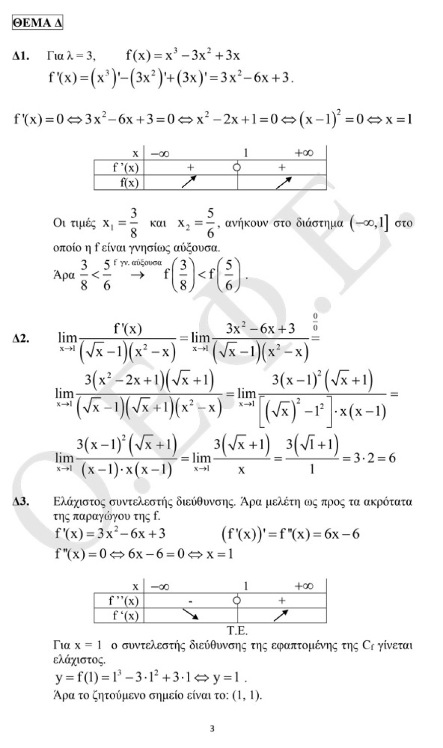
Δείτε παρακάτω τις απαντήσεις των θεμάτων που δημοσίευσε η ΟΕΦΕ

Πανελλαδικές 2019 ΕΠΑΛ: Δείτε τις απαντήσεις στα θέματα της Άλγεβρας
Πανελλαδικές 2019 ΕΠΑΛ: Δείτε τις απαντήσεις στα θέματα της Άλγεβρας
Πανελλαδικές 2019 ΕΠΑΛ: Δείτε τις απαντήσεις στα θέματα της Άλγεβρας
Πανελλαδικές 2019 ΕΠΑΛ: Δείτε τις απαντήσεις στα θέματα της Άλγεβρας
Ακολουθήστε το protothema.gr στο Google News και μάθετε πρώτοι όλες τις ειδήσεις

Δείτε όλες τις τελευταίες Ειδήσεις από την Ελλάδα και τον Κόσμο, τη στιγμή που συμβαίνουν, στο Protothema.gr

ΡΟΗ ΕΙΔΗΣΕΩΝ

Ειδήσεις Δημοφιλή Σχολιασμένα
δειτε ολες τις ειδησεις

ΤΑ ΠΙΟ ΔΗΜΟΦΙΛΗ

Best of Network

Δείτε Επίσης