ΑΑΔΕ: Αντιστοίχιση Ταχυδρομικού Κωδικού σε ΔΟΥ - Δείτε τους πίνακες

ΑΑΔΕ: Αντιστοίχιση Ταχυδρομικού Κωδικού σε ΔΟΥ - Δείτε τους πίνακες

Η αυτόματη επιλογή της αρμόδιας ΔΟΥ με βάση τη σιεύθυνση και τον ΤΚ, ανοίγει τις πύλες μιας προωθημένης ψηφιακής υποδομής εξυπηρέτησης του πολίτη

ΑΑΔΕ: Αντιστοίχιση Ταχυδρομικού Κωδικού σε ΔΟΥ - Δείτε τους πίνακες
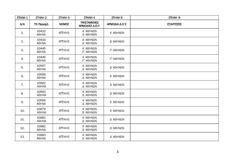
Με απόφαση του Διοικητή της ΑΑΔΕ Γιώργου Πιτσιλή, για τον ανακαθορισμό της χωρικής αρμοδιότητας του συνόλου των Δημόσιων Οικονομικών Υπηρεσιών (ΔΟΥ), οροθετείται η αντιστοίχιση ενός Ταχυδρομικού Κώδικα (ΤΚ) σε μια μοναδική ΔΟΥ, βελτιώνοντας την εξυπηρέτηση των παρεχόμενων υπηρεσιών στους πολίτες.

Με τον ανακαθορισμό της αρμοδιότητας των ΔΟΥ δημιουργείται η αναγκαία υποδομή ώστε οι νέες ψηφιακές υπηρεσίες, να εξασφαλίζουν την αυτόματη επιλογή της αρμόδιας ΔΟΥ με βάση τη Διεύθυνση και τον ΤΚ του φορολογούμενου. Με αυτό τον τρόπο οι φορολογούμενοι, ανεξαρτήτως ΤΚ της περιοχής τους, εξυπηρετούνται από τη ΔΟΥ της Περιφερειακής Ενότητας στην οποία ανήκουν, με βάση το Πρόγραμμα Καλλικράτης Ν. 3852/2010 (Α87) .

Επίσης, μέσω της διευθέτησης των σωστών στοιχείων της έδρας στο σωστό νομό και δήμο, διασφαλίζεται ότι η χρήση της Ενιαίας Ψηφιακής Πύλης θα πραγματοποιεί την εγγραφή της έναρξης στο ΓΕΜΗ και αυτό με τη σειρά του στο αντίστοιχο Εμπορικό Επιμελητήριο, έχοντας υπόψη τον ορθό νομό.

Επισημαίνεται ότι ένας ΤΚ ανήκει μοναδικά σε μία ΔΟΥ. Εξαιρούνται οι περιπτώσεις όπου ο ΤΚ σύμφωνα με τα ΕΛΤΑ ανήκει σε δύο διαφορετικές Περιφερειακές Ενότητες, οπότε η κάθε περιοχή υπάγεται στην αρμοδιότητα της ΔΟΥ της οικείας Περιφερειακής Ενότητας.

Η αυτόματη επιλογή της αρμόδιας ΔΟΥ με βάση τη Διεύθυνση και τον ΤΚ, ανοίγει τις πύλες μιας προωθημένης υβριδικής ψηφιακής υποδομής εξυπηρέτησης του πολίτη.

Η αντιστοίχιση ενός ΤΚ σε μια μοναδική ΔΟΥ πανελλαδικά θα αρχίσει τη Δευτέρα, 14 Νοεμβρίου 2022 για τους φορολογούμενους φυσικά ή νομικά πρόσωπα και νομικές οντότητες που θα αποκτήσουν ΑΦΜ καθώς και για όσους θα προβούν σε έναρξη εργασιών.

Επισημαίνεται ότι, οι αρμόδιες Υπηρεσίες της ΑΑΔΕ, από τις 18 έως 21 Νοεμβρίου 2022 θα προχωρήσουν σε μεταγραφή των φορολογουμένων στη νέα ΔΟΥ στην οποία θα υπάγονται, για τις περιοχές που δεν υπάρχουν εξαιρέσεις, ενώ από τις 16 έως 19 Δεκεμβρίου 2022 θα πραγματοποιηθεί μεταγραφή, για τις περιοχές που υπάρχουν εξαιρέσεις, σύμφωνα με τους συνημμένους Πίνακες Ανακατανομής.

Δείτε τους πίνακες:
ΑΑΔΕ: Αντιστοίχιση Ταχυδρομικού Κωδικού σε ΔΟΥ - Δείτε τους πίνακες
ΑΑΔΕ: Αντιστοίχιση Ταχυδρομικού Κωδικού σε ΔΟΥ - Δείτε τους πίνακες
ΑΑΔΕ: Αντιστοίχιση Ταχυδρομικού Κωδικού σε ΔΟΥ - Δείτε τους πίνακες
ΑΑΔΕ: Αντιστοίχιση Ταχυδρομικού Κωδικού σε ΔΟΥ - Δείτε τους πίνακες
ΑΑΔΕ: Αντιστοίχιση Ταχυδρομικού Κωδικού σε ΔΟΥ - Δείτε τους πίνακες
ΑΑΔΕ: Αντιστοίχιση Ταχυδρομικού Κωδικού σε ΔΟΥ - Δείτε τους πίνακες
ΑΑΔΕ: Αντιστοίχιση Ταχυδρομικού Κωδικού σε ΔΟΥ - Δείτε τους πίνακες
ΑΑΔΕ: Αντιστοίχιση Ταχυδρομικού Κωδικού σε ΔΟΥ - Δείτε τους πίνακες
ΑΑΔΕ: Αντιστοίχιση Ταχυδρομικού Κωδικού σε ΔΟΥ - Δείτε τους πίνακες
ΑΑΔΕ: Αντιστοίχιση Ταχυδρομικού Κωδικού σε ΔΟΥ - Δείτε τους πίνακες
ΑΑΔΕ: Αντιστοίχιση Ταχυδρομικού Κωδικού σε ΔΟΥ - Δείτε τους πίνακες
ΑΑΔΕ: Αντιστοίχιση Ταχυδρομικού Κωδικού σε ΔΟΥ - Δείτε τους πίνακες
ΑΑΔΕ: Αντιστοίχιση Ταχυδρομικού Κωδικού σε ΔΟΥ - Δείτε τους πίνακες
ΑΑΔΕ: Αντιστοίχιση Ταχυδρομικού Κωδικού σε ΔΟΥ - Δείτε τους πίνακες
ΑΑΔΕ: Αντιστοίχιση Ταχυδρομικού Κωδικού σε ΔΟΥ - Δείτε τους πίνακες
ΑΑΔΕ: Αντιστοίχιση Ταχυδρομικού Κωδικού σε ΔΟΥ - Δείτε τους πίνακες
ΑΑΔΕ: Αντιστοίχιση Ταχυδρομικού Κωδικού σε ΔΟΥ - Δείτε τους πίνακες
Κλείσιμο


Ειδήσεις σήμερα:

Ο Ζούκερμπεργκ απέλυσε 11.000 εργαζομένους από το Facebook

Μολότοφ και χημικά στο κέντρο της Θεσσαλονίκης μετά την πορεία για την απεργία - Τουλάχιστον οκτώ προσαγωγές

Σακίρα, Πικέ συμφώνησαν μετά από 12 ώρες: Φεύγει με τα παιδιά για Μαϊάμι η τραγουδίστρια
Ακολουθήστε το protothema.gr στο Google News και μάθετε πρώτοι όλες τις ειδήσεις

Δείτε όλες τις τελευταίες Ειδήσεις από την Ελλάδα και τον Κόσμο, τη στιγμή που συμβαίνουν, στο Protothema.gr

ΡΟΗ ΕΙΔΗΣΕΩΝ

Ειδήσεις Δημοφιλή Σχολιασμένα
δειτε ολες τις ειδησεις

ΤΑ ΠΙΟ ΔΗΜΟΦΙΛΗ

Best of Network

Δείτε Επίσης