Κορωνοϊός: Μελέτη Τσιόδρα και Λύτρα για τις ΜΕΘ στην Ελλάδα – Χάνονται ασθενείς που θα μπορούσαν να ζήσουν
Χάνονται ζωές που θα μπορούσαν να σωθούν - «Υγειονομική ανισότητα» μεταξύ Αττικής και υπόλοιπης Ελλάδας: Διασωλήνωση σε νοσοκομείο εκτός Αττικής σχετιζόταν με +35-40% θνητότητα - Σύμφωνα με τη μελέτη, η θνητότητα των διασωληνωμένων ασθενών με Covid-19 αυξάνεται έως 57% ανάλογα με την πληρότητα των ΜΕΘ
Τη συσχέτιση μεταξύ του αριθμού των ασθενών που νοσηλεύονται σε ΜΕΘ covid στη χώρα μας και της θνητότητας τους αναδεικνύει μελέτη που εκπόνησαν ο καθηγητής Παθολογίας-Λοιμωξιολογίας της Ιατρικής Σχολής Αθηνών, κ.Σωτήρης Τσιόδρας και ο αναπληρωτής καθηγητής Επιδημιολογίας στο Ευρωπαϊκό Πανεπιστήμιο Κύπρου, κ. Θεόδωρος Λύτρας, και η οποία δημοσιεύθηκε στο Scandinavian Journal of Public Health.
Οι επιστήμονες κατέγραψαν τις νοσηλείες ασθενών με λοίμωξη covid-19στις ΜΕΘ αλλά κι εκτός ΜΕΘ, στις περιπτώσεις διασωληνωμένων, από τον Σεπτέμβριο του 2020 μέχρι τον Μάιο του 2021 και ανέλυσαν τις πιθανότητες μοιραίας έκβασης των ασθενών σε σχέση με το φόρτο του συστήματος υγείας.
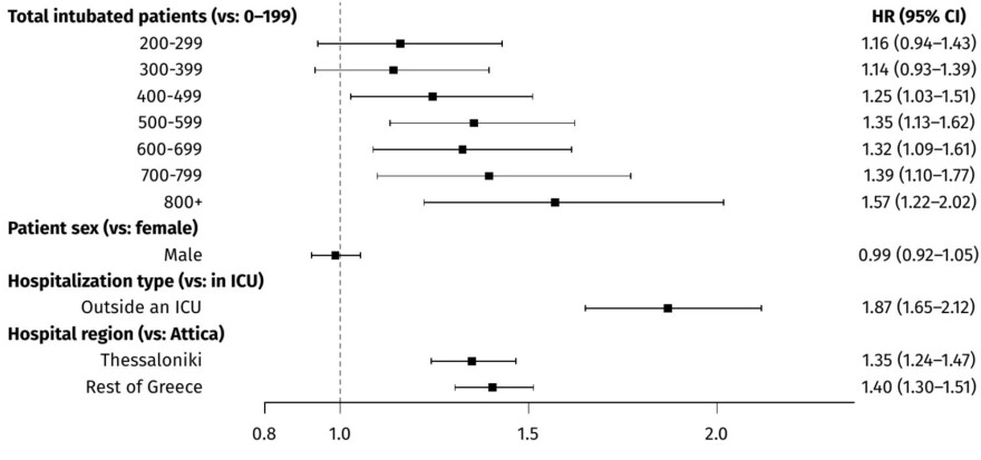
Σύμφωνα με τη μελέτη, η θνητότητα των διασωληνωμένων ασθενών με Covid-19 αυξάνεται από 25% έως 57% ανάλογα με την πληρότητα των ΜΕΘ. Το ποσοστό εξαρτάται και από το αν οι ασθενείς βρίσκονται διασωληνωμένοι εντός ή εκτός Μονάδας. Τουλάχιστον 1.500 ασθενείς λόγω κορωνοϊού θα μπορούσαν να έχουν εξέλθει από τα νοσοκομεία κατά το διάστημα των 8 μηνών που αφορά η μελέτη.
Άρθρο μας με @STsiodras στο @JournalSjph για θνητότητα 🇬🇷 διασωληνωμένων #COVID19 ασθενών σε σχέση με το φόρτο του συστήματος υγείας, ως αρχές Μαϊου 2020.https://t.co/XcRrXbxhRO Αναδεικνύει τις χαμηλές "αντοχές" του ΕΣΥ, που δεν αφορούν μόνο τη διαθεσιμότητα ΜΕΘ. *Thread*
Από τους 3988 θανάτους διασληνωμένων που αναλύθηκαν, 1535 (95%CI: 1053–1947) αποδίδονται αθροιστικά στους 3 αυτούς παράγοντες.
Δηλαδή εκτιμάται πως τόσοι θα γλίτωναν αν όλοι νοσηλεύονταν 1⃣ με χαμηλό φόρτο στο ΕΣΥ (<200 διασωληνωμένους), 2⃣ σε νοσοκομεία Αττικής, κ 3⃣ εντός ΜΕΘ.
«Τα δεδομένα δείχνουν πως το ΕΣΥ αδυνατεί να ανταποκριθεί στον φόρτο: με πάνω από 400 διασωληνωμένους, χάνουμε ασθενείς που αναμένεται να ζούσαν αν νοσηλεύονταν υπό άλλες συνθήκες. Επιπλέον έχουμε κραυγαλέα και απαράδεκτη «υγειονομική ανισότητα» μεταξύ Αττικής και υπόλοιπης Ελλάδας» σχολιάζει σε ανάρτησή του στο Twitter ο κ. Λύτρας.
Κλείσιμο
Και τα δεδομένα δείχνουν πως το ΕΣΥ αδυνατεί να ανταποκριθεί στον ⬆️φόρτο: με >400 διασωληνωμένους, χάνουμε ασθενείς που αναμένεται να ζούσαν αν νοσηλεύονταν υπό άλλες συνθήκες.
Επιπλέον έχουμε κραυγαλέα & απαράδεκτη *υγειονομική ανισότητα* μεταξύ Αττικής και υπόλοιπης Ελλάδας.
Όσο περισσότεροι διασωληνωμένοι στο ΕΣΥ, τόσο αυξάνει κλιμακωτά η πιθανότητα θανάτου ανά μέρα νοσηλείας: +25% για μέχρι 400 διασωληνωμένους, +57% για έως 800 διασωληνωμένους ασθενείς.
Όπως αναφέρει ο κ. Λύτρας, «νοσηλεία εκτός ΜΕΘ σχετιζόταν με 87% αυξημένη θνητότητα - παρ' ότι αυτό αφορούσε λίγους ασθενείς, μόνο περίπου το 5% των διασωληνωμένων (οι υπόλοιποι ήταν εντός ΜΕΘ) και "εν μέρει" ίσως αφορά διαλογή των πιο βαριά πασχόντων ασθενών, άρα μη αιτιακή σχέση, άρα πρέπει να ερμηνευθεί με προσοχή».
Σημειωτέον ότι το ΠΡΩΤΟ ΘΕΜΑ έχει αναδείξει τις δραματικές αποκλίσεις της περίθαλψης των ασθενών με covid μέσα από δημοσίευμα του με παράθεση στοιχείων για τους θανάτους ανά περιοχή και νοσοκομείο.
Όπως αναφέρει στην ανάρτησή του ο καθηγητής, «από τους 3.988 θανάτους διασωληνωμένων που αναλύθηκαν, οι 1.535 (95%CI: 1053–1947) αποδίδονται αθροιστικά στους 3 αυτούς παράγοντες. Δηλαδή εκτιμάται πως τόσοι θα γλίτωναν αν όλοι νοσηλεύονταν 1. με χαμηλό φόρτο στο ΕΣΥ (έως και 200 διασωληνωμένους), 2. σε νοσοκομεία Αττικής, και 3. εντός ΜΕΘ».
Και συνεχίζει γράφοντας: «Με άλλα λόγια, το αν θα επιβιώσεις της διασωλήνωσης φαίνεται πως εξαρτάται από το πού ζεις, και σε ποιά περίοδο (με τι φόρτο στο ΕΣΥ) έτυχε να αρρωστήσεις. Το αν αυτό είναι αποδεκτό, ας το κρίνει ο κάθε πολίτης κ ας βγάλει τα όποια συμπεράσματα. (1) Η ανάλυση αυτή έγινε τέλος Μαϊου, κι ως οφείλαμε σαν λειτουργοί της Δημόσιας Υγείας τη γνωστοποιήσαμε άμεσα κ επανειλημμένα σε όλους όσους λαμβάνουν τις αποφάσεις στο "ανώτατο" επίπεδο. Τώρα, μετά από το peer review, έφτασε η ώρα της δημοσίευσης για να τη διαβάσουν όλοι. (2) Εφ'όσον εξακολουθούμε να έχουμε πρόσβαση στα σχετικά στοιχεία, είναι αυτονόητο πως η ανάλυση θα επαναληφθεί/επικαιροποιηθεί στο μέλλον, ώστε να δούμε πως ανταπεξέρχεται το σύστημα υγείας και στο τρέχον πανδημικό κύμα. Και (3) η (εξαιρετική) ιδέα γι' αυτή την ανάλυση δεν ήταν δική μου αλλά του @STsiodras · εγώ βοήθησα με την υλοποίηση. Αυτό το τονίζω για τους κακεντρεχείς που δεν εννοούν να καταλάβουν οτι ο @STsiodras κι εγω είμαστε ΜΟΝΟ επιστήμονες, με "αποκλειστικό" μέλημα τη Δημόσια Υγεία».
(1) Η ανάλυση αυτή έγινε τέλος Μαϊου, κι ως οφείλαμε σαν λειτουργοί της Δημόσιας Υγείας τη γνωστοποιήσαμε άμεσα κ επανειλημμένα σε όλους όσους λαμβάνουν τις αποφάσεις στο **ανώτατο** επίπεδο.
Τώρα, μετά από το peer review, έφτασε η ώρα της δημοσίευσης για να τη διαβάσουν όλοι.
Ο Chef θα παρουσιάσει μέσα από τα ψηφιακά του κανάλια (Instagram, Facebook και YouTube) δύο νέες σειρές επεισοδίων, βασισμένες σε ένα φρέσκο concept, ειδικά σχεδιασμένο για την AEG
Ο Όμιλος Active πρωταγωνιστεί στη νέα τεχνολογική εποχή, διευκολύνοντας την ψηφιακή μετάβαση και οδηγώντας τις εξελίξεις σε μια σειρά από κρίσιμους τομείς για το μέλλον της χώρας, όπως για παράδειγμα της Εκπαίδευσης.
Για την Coca-Cola, τα Χριστούγεννα δεν είναι απλώς μια γιορτή. Είναι η στιγμή που η μαγεία της προσφοράς συναντά την ανάγκη για αλληλεγγύη. Η εποχή που μας θυμίζει πόσο σημαντικό είναι να στεκόμαστε δίπλα σε όσους μας χρειάζονται.