Blue Monday: H πιο μελαγχολική ημέρα του έτους - Τι ρόλο παίζουν οι αγορές και η καφεΐνη

Blue Monday: H πιο μελαγχολική ημέρα του έτους - Τι ρόλο παίζουν οι αγορές και η καφεΐνη

Γιατί η σημερινή Δευτέρα θεωρείται η πιο μελαγχολική όλου του χρόνου: Ειδικοί μιλούν στο Skynews και προτείνουν: «Μιλήστε με τους αγαπημένους σας, μην κλείνεστε στον εαυτό σας»

Blue Monday: H πιο μελαγχολική ημέρα του έτους - Τι ρόλο παίζουν οι αγορές και η καφεΐνη
Ως η πιο καταθλιπτική ημέρα του χρόνου θεωρείται η τρίτη Δευτέρα του Ιανουαρίου που έχει καθιερωθεί να ονομάζεται «Blue Monday», οπότε για τη φετινή χρονιά ως «Μπλε Δευτέρα» ορίζεται η 18η Ιανουαρίου 2021.

Η πιο μελαγχολική ημέρα του χρόνου, φέτος, συμπίπτει και με τις ψυχολογικές επιπτώσεις της πανδημίας του κορωνοϊού

Όλα ξεκίνησαν τα πρώτα χρόνια της νέας χιλιετίας, όταν μία διαφημιστική εταιρεία στη Μεγάλη Βρετανία έψαχνε το σενάριο για την καμπάνια του ταξιδιωτικού γραφείου Sky Travel. Η ιδέα ήταν να ορίσουν μία ημερομηνία ως την πιο μελαγχολική του χρόνου και η απάντηση στη μελαγχολία να είναι «κλείστε σήμερα τις διακοπές σας και διώξτε τη στενοχώρια».

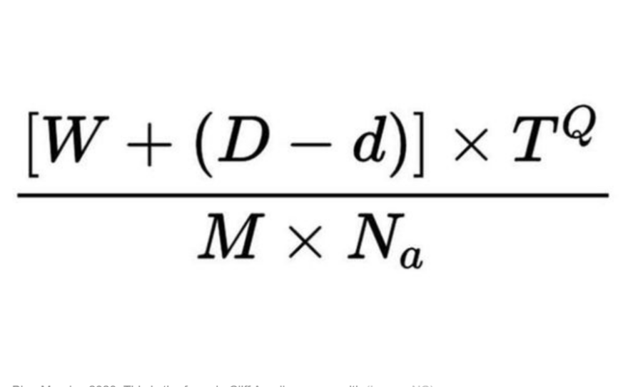
O ψυχολόγος του Πανεπιστημίου του Κάρντιφ, Κλιφ Αρνάλ, ανέλαβε να δώσει επιστημονικό περίβλημα στη θεωρία αυτή. Το 2005 ανακοίνωσε ένα μαθηματικό τύπο για να βρει ποια είναι η πιο καταθλιπτική μέρα του χρόνου και κατέληξε στην τρίτη Δευτέρα του Ιανουαρίου. Συνδύασε τον άσχημο καιρό του Ιανουαρίου, τα χρέη του Δεκεμβρίου και τα Χριστούγεννα που πέρασαν και χρειάζεται να περιμένουμε έναν ολόκληρο χρόνο για να ξαναέρθουν.

Ο μαθηματικός τύπος του Αρνάλ περιλαμβάνει έξι παράγοντες, όπως ο καιρός (W), τα έσοδα (D), τα χρέη (d), ο χρόνος από τα Χριστούγεννα (T), o χρόνος από την αποτυχία υλοποίησης των αποφάσεων για το νέο έτος (Q), τα χαμηλά επίπεδα κινήτρων (Μ) και η ανάγκη για δράση (Na).

Blue Monday: H πιο μελαγχολική ημέρα του έτους - Τι ρόλο παίζουν οι αγορές και η καφεΐνη
Υπάρχουν και άλλοι επιστήμονες που εξηγούν γιατί πέφτουμε σε κατάθλιψη λίγο μετά τα Χριστούγεννα. Η βρετανίδα οικονομολόγος Jane Clack, ειδική σε θέματα χρεών, επισημαίνει ότι πολλοί καταναλωτές κατά την διάρκεια των γιορτών ψωνίζουν με πιστωτικές κάρτες, συχνά λίγο παραπάνω από όσο αντέχει η τσέπη τους και τώρα βρίσκονται αντιμέτωποι με τα χρέη τους.

Επίσης, η διατροφολόγος Alison Clark επισημαίνει ότι η κατανάλωση μεγάλης ποσότητας ζάχαρης και καφεΐνης, που περιέχεται εκτός από τον καφέ στα αναψυκτικά, μπορεί να προκαλέσουν νευρικότητα και πονοκέφαλο και καλό θα ήταν να αποφεύγονται την «Blue Monday» και γενικότερα τον Ιανουάριο, μια και είναι ο μήνας που ερχόμαστε αντιμέτωποι με τις υποχρεώσεις μας και την σκληρή πραγματικότητα, μετά την ανεμελιά των Χριστουγέννων. Η πλειονότητα ωστόσο των επιστημόνων επισημαίνει ότι ο τύπος αυτός δεν μπορεί να σταθεί επιστημονικά και δεν γίνεται αποδεκτός από τους μαθηματικούς, που τον κατατάσσουν στις «ψευδοεπιστήμες» και τον απορρίπτουν ως ανοησίες.

Κλείσιμο
Blue Monday: H πιο μελαγχολική ημέρα του έτους - Τι ρόλο παίζουν οι αγορές και η καφεΐνη
Ρεπορτάζ του Skynews παραθέτει ιδέες από ειδικούς, «ανάσες» αισιοδοξίας, προτείνοντας στους μελαγχολικούς τύπους, να συνομιλήσουν με αγαπημένα πρόσωπα, να πιουν ένα χαλαρωτικό τσάι. «Εϊναι προτιμότερο να επικοινωνείς παρά να κλείνεσαι στον εαυτό σου και να μελαγχολείς». 

Σύμφωνα με τη σχετική έρευνα, σε ποσοστό 58% των Βρετανών πολιτών, λειτούργησε θετικά η επικοινωνία μέσω social media με συγγενείς και φίλους κατά τη διάρκεια της πανδημίας. 


Ειδήσεις σήμερα: 

Πώς θα ήταν άραγε τα πρόσωπα του Αριστοτέλη, του Ομήρου και του Μεγάλου Αλεξάνδρου;

Νέες αποκαλύψεις από τον Κακλαμανάκη: Δεν είναι μόνο η Μπεκατώρου - Γνώριζα για τον βιασμό
 
Καιρός στην Αθήνα: Χιονίζει στα βόρεια προάστια - Δείτε βίντεο
Ακολουθήστε το protothema.gr στο Google News και μάθετε πρώτοι όλες τις ειδήσεις

Δείτε όλες τις τελευταίες Ειδήσεις από την Ελλάδα και τον Κόσμο, τη στιγμή που συμβαίνουν, στο Protothema.gr

ΡΟΗ ΕΙΔΗΣΕΩΝ

Ειδήσεις Δημοφιλή Σχολιασμένα
δειτε ολες τις ειδησεις

ΤΑ ΠΙΟ ΔΗΜΟΦΙΛΗ

Best of Network

Δείτε Επίσης