Πανελλαδικές 2021: Δείτε τις απαντήσεις σε Φυσική, Οικονομία και Ιστορία

Πανελλαδικές 2021: Δείτε τις απαντήσεις σε Φυσική, Οικονομία και Ιστορία

Τα σχόλια του ΟΕΦΕ για τα σημερινά θέματα

Πανελλαδικές 2021: Δείτε τις απαντήσεις σε Φυσική, Οικονομία και Ιστορία
Στα μαθήματα Ιστορίας (Ο.Π. Ανθρωπιστικών Σπουδών), Φυσικής (Ο.Π. Θετικών Σπουδών + Ο.Π. Σπουδών Υγείας) και Οικονομίας (Ο.Π. Σπουδών Οικονομίας και πληροφορικής), διαγωνίστηκαν σήμερα Τρίτη, στις Πανελλαδικές Εξετάσεις, οι υποψήφιοι των ΓΕΛ.

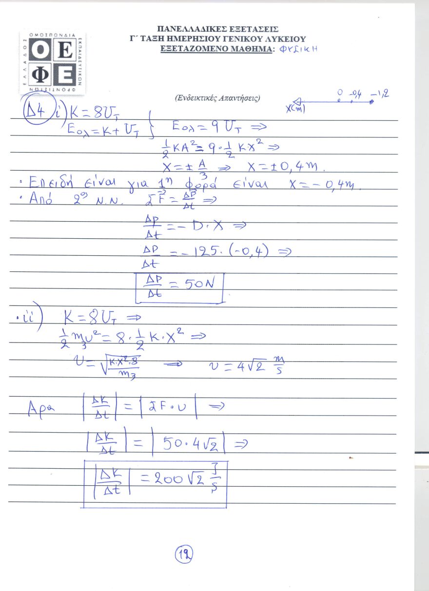
Δείτε τις απαντήσεις στη Φυσική

Πανελλαδικές 2021: Δείτε τις απαντήσεις σε Φυσική, Οικονομία και Ιστορία
Πανελλαδικές 2021: Δείτε τις απαντήσεις σε Φυσική, Οικονομία και Ιστορία
Πανελλαδικές 2021: Δείτε τις απαντήσεις σε Φυσική, Οικονομία και Ιστορία
Πανελλαδικές 2021: Δείτε τις απαντήσεις σε Φυσική, Οικονομία και Ιστορία
Πανελλαδικές 2021: Δείτε τις απαντήσεις σε Φυσική, Οικονομία και Ιστορία
Πανελλαδικές 2021: Δείτε τις απαντήσεις σε Φυσική, Οικονομία και Ιστορία
Πανελλαδικές 2021: Δείτε τις απαντήσεις σε Φυσική, Οικονομία και Ιστορία
Πανελλαδικές 2021: Δείτε τις απαντήσεις σε Φυσική, Οικονομία και Ιστορία
Πανελλαδικές 2021: Δείτε τις απαντήσεις σε Φυσική, Οικονομία και Ιστορία
Πανελλαδικές 2021: Δείτε τις απαντήσεις σε Φυσική, Οικονομία και Ιστορία
Πανελλαδικές 2021: Δείτε τις απαντήσεις σε Φυσική, Οικονομία και Ιστορία
Πανελλαδικές 2021: Δείτε τις απαντήσεις σε Φυσική, Οικονομία και Ιστορία
Πανελλαδικές 2021: Δείτε τις απαντήσεις σε Φυσική, Οικονομία και Ιστορία


Δείτε τις απαντήσεις στην Οικονομία 

Πανελλαδικές 2021: Δείτε τις απαντήσεις σε Φυσική, Οικονομία και Ιστορία
Πανελλαδικές 2021: Δείτε τις απαντήσεις σε Φυσική, Οικονομία και Ιστορία
Πανελλαδικές 2021: Δείτε τις απαντήσεις σε Φυσική, Οικονομία και Ιστορία
Πανελλαδικές 2021: Δείτε τις απαντήσεις σε Φυσική, Οικονομία και Ιστορία
Πανελλαδικές 2021: Δείτε τις απαντήσεις σε Φυσική, Οικονομία και Ιστορία

Δείτε τις απαντήσεις στην Ιστορία 

Πανελλαδικές 2021: Δείτε τις απαντήσεις σε Φυσική, Οικονομία και Ιστορία
Πανελλαδικές 2021: Δείτε τις απαντήσεις σε Φυσική, Οικονομία και Ιστορία
Πανελλαδικές 2021: Δείτε τις απαντήσεις σε Φυσική, Οικονομία και Ιστορία
Πανελλαδικές 2021: Δείτε τις απαντήσεις σε Φυσική, Οικονομία και Ιστορία
Πανελλαδικές 2021: Δείτε τις απαντήσεις σε Φυσική, Οικονομία και Ιστορία
Πανελλαδικές 2021: Δείτε τις απαντήσεις σε Φυσική, Οικονομία και Ιστορία



Ειδήσεις σήμερα:

Τρεις ανήλικοι κυκλοφορούσαν με μαχαίρια στην Κόρινθο

Θεσσαλονίκη: Το «bullying» για τα κιλά της οδήγησε την 14χρονη στο χειρουργείο και τον θάνατο

Πριγκίπισσα Νταϊάνα: Οι τελευταίες άγνωστες στιγμές πριν ξεψυχήσει στο Παρίσι
Ακολουθήστε το protothema.gr στο Google News και μάθετε πρώτοι όλες τις ειδήσεις

Δείτε όλες τις τελευταίες Ειδήσεις από την Ελλάδα και τον Κόσμο, τη στιγμή που συμβαίνουν, στο Protothema.gr

ΡΟΗ ΕΙΔΗΣΕΩΝ

Ειδήσεις Δημοφιλή Σχολιασμένα
δειτε ολες τις ειδησεις

ΤΑ ΠΙΟ ΔΗΜΟΦΙΛΗ

Best of Network

Δείτε Επίσης