Σύγκρουση τρένων στα Τέμπη: Ο σταθμάρχης Λάρισας και ο μηχανοδηγός του Intercity γνώριζαν ότι η κίνηση γινόταν σε διπλή γραμμή

Σύγκρουση τρένων στα Τέμπη: Ο σταθμάρχης Λάρισας και ο μηχανοδηγός του Intercity γνώριζαν ότι η κίνηση γινόταν σε διπλή γραμμή

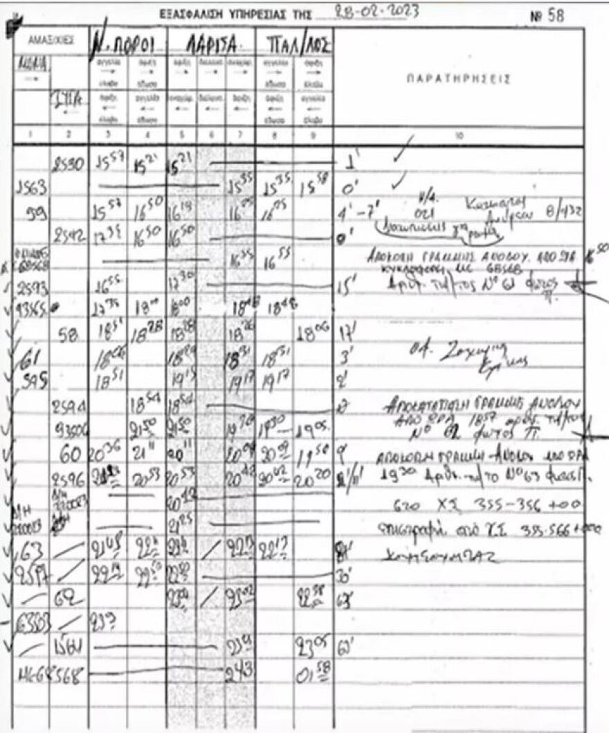
Έγγραφο επιβεβαιώνει για άλλη μια φορά τα μοιραία λάθη του προφυλακισμένου Βασίλη Σαμαρά

Σύγκρουση τρένων στα Τέμπη: Ο σταθμάρχης Λάρισας και ο μηχανοδηγός του Intercity γνώριζαν ότι η κίνηση γινόταν σε διπλή γραμμή
Για 93 λεπτά πριν τη μοιραία σύγκρουση των τρένων στα Τέμπη που προκάλεσε τον θάνατο 57 ανθρώπων φαίνεται ότι γνώριζαν ο σταθμάρχης της Λάρισας, Βασίλης Σαμαράς, και ο μηχανοδηγός του Intercity 62 ότι η κίνηση των τρένων γινόταν σε διπλη γραμμή.

Αυτό προκύπτει από έγγραφο που έφερε στη δημοσιότητα το MEGA με καταγραφές από το μοιραίο βράδυ της 28ης Φεβρουαρίου.

Όπως φαίνεται στο έγγραφο στις 28/02/2023 και ώρα 21:48, η αμαξοστοιχία 63 αναχωρεί από Νέους Πόρους προς Λάρισα με γραμμή καθόδου. Στις 28/02/2023 και ώρα 21:50, η αμαξοστοιχία 93506 αναχωρεί από Λάρισα προς Νέους Πόρους με γραμμή ανόδου και διάρκεια διαδρομής 22 λεπτά με τις δύο αμαξοστοιχίες να συναντώνται στα Τέμπη.

Σύγκρουση τρένων στα Τέμπη: Ο σταθμάρχης Λάρισας και ο μηχανοδηγός του Intercity γνώριζαν ότι η κίνηση γινόταν σε διπλή γραμμή
To έγγραφο που έφερε στη δημοσιότητα το MEGA


Στις 23:04, η αμαξοστοιχία 62 αναχωρεί από Λάρισα προς Νέους Πόρους και ξεκινά γραμμή ανόδου αλλά στη διαγώνιο 118 μπαίνει γραμμή καθόδου, ένα λάθος του σταθμάρχη που αποδείχθηκε καθοριστικό για την τραγωδία με τους 57 νεκρούς καθώς λίγα λεπτά αργότερα σημειώθηκε η μετωπική σύγκρουση του Intercity 62 με το εμπορικό τρένο.

Glomex Player(40599w16ki4e70hs, v-cr8umtt62015)


Συνεδριάζει το Συντονιστικό Κέντρο Ασφάλειας Σιδηροδρόμων

Κλείσιμο
Εντωμεταξύ σήμερα Σάββατο (18/3) συνεδριάζει το Συντονιστικό Κέντρο Ασφαλείας Σιδηροδρόμων, το οποίο συγκροτήθηκε για πρώτη φορά σε σώμα την Παρασκευή (17/3). Η συνεδρίαση θα γίνει στο κέντρο διαχείρισης κλήσεων στην οδό Αχαρνών, με τη συγκρότηση του συγκεκριμένου σώματος να είναι μια πρωτοβουλία του υπουργού Επικρατείας, αρμόδιου για θέματα Μεταφορών και Υποδομών, Γιώργου Γεραπετρίτη. Μετά το δυστύχημα στα Τέμπη, άλλωστε, η ασφάλεια και οι συνθήκες στον ελληνικό σιδηρόδρομο είναι μείζον θέμα συζήτησης.

Στη συνεδρίαση θα συμμετάσχουν εκπρόσωποι του ΟΣΕ, του Πυροσβεστικού Σώματος και της Ελληνικής Αστυνομίας. Παρόντες θα είναι εκπρόσωποι της Hellenic Train και του ΕΚΑΒ. Στόχος της συνεδρίασης του συγκεκριμένου σώματος είναι να βελτιωθεί και να συντηρηθεί το σιδηροδρομικό δίκτυο έτσι ώστε να μην υπάρξουν στο μέλλον ανάλογα δυστυχήματα όπως η τραγωδία στα Τέμπη.

Glomex Player(40599w16ki4e70hs, v-cr9b281voi0x)


Ειδήσεις σήμερα:

Τα 19 επιδόματα που επηρεάζονται από την αύξηση του κατώτατου μισθού

Σάρον Στόουν: «Πήγα στο νοσοκομείο και είπα αν είναι καρκίνος, πάρτε και τα δύο μου στήθη»

Η μυστηριώδης «Μαρία Τσάλλα», ο κατάσκοπος-σύζυγος στη Βραζιλία και η διαφυγή στη Μόσχα
Ακολουθήστε το protothema.gr στο Google News και μάθετε πρώτοι όλες τις ειδήσεις

Δείτε όλες τις τελευταίες Ειδήσεις από την Ελλάδα και τον Κόσμο, τη στιγμή που συμβαίνουν, στο Protothema.gr

ΡΟΗ ΕΙΔΗΣΕΩΝ

Ειδήσεις Δημοφιλή Σχολιασμένα
δειτε ολες τις ειδησεις

ΤΑ ΠΙΟ ΔΗΜΟΦΙΛΗ

Best of Network

Δείτε Επίσης